Free Access

Fig. 17

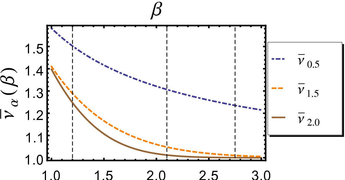
image

Transition to the Newtonian regime for different alphas in family. Vertical dashed lines, from left to right, mark values βgN/a0 = 1.20, 2.10 and 2.75, respectively. These came from , using α = 0.5, a0 = 1.2 × 10-10 m s-2 (β = 1.20); α = 0.5, a0 = 8.11 × 10-11 m s-2 (β = 2.10); α = 1.5, a0 = 8.11 × 10-11 m s-2 (β = 2.75), and assuming that the external field dominates over the internal, . When this is not the case the values of β are even larger. Note that . ge is always the same constant , but what matters is that the value of ge varies in units of a0 as one varies a0.

Current usage metrics show cumulative count of Article Views (full-text article views including HTML views, PDF and ePub downloads, according to the available data) and Abstracts Views on Vision4Press platform.

Data correspond to usage on the plateform after 2015. The current usage metrics is available 48-96 hours after online publication and is updated daily on week days.

Initial download of the metrics may take a while.