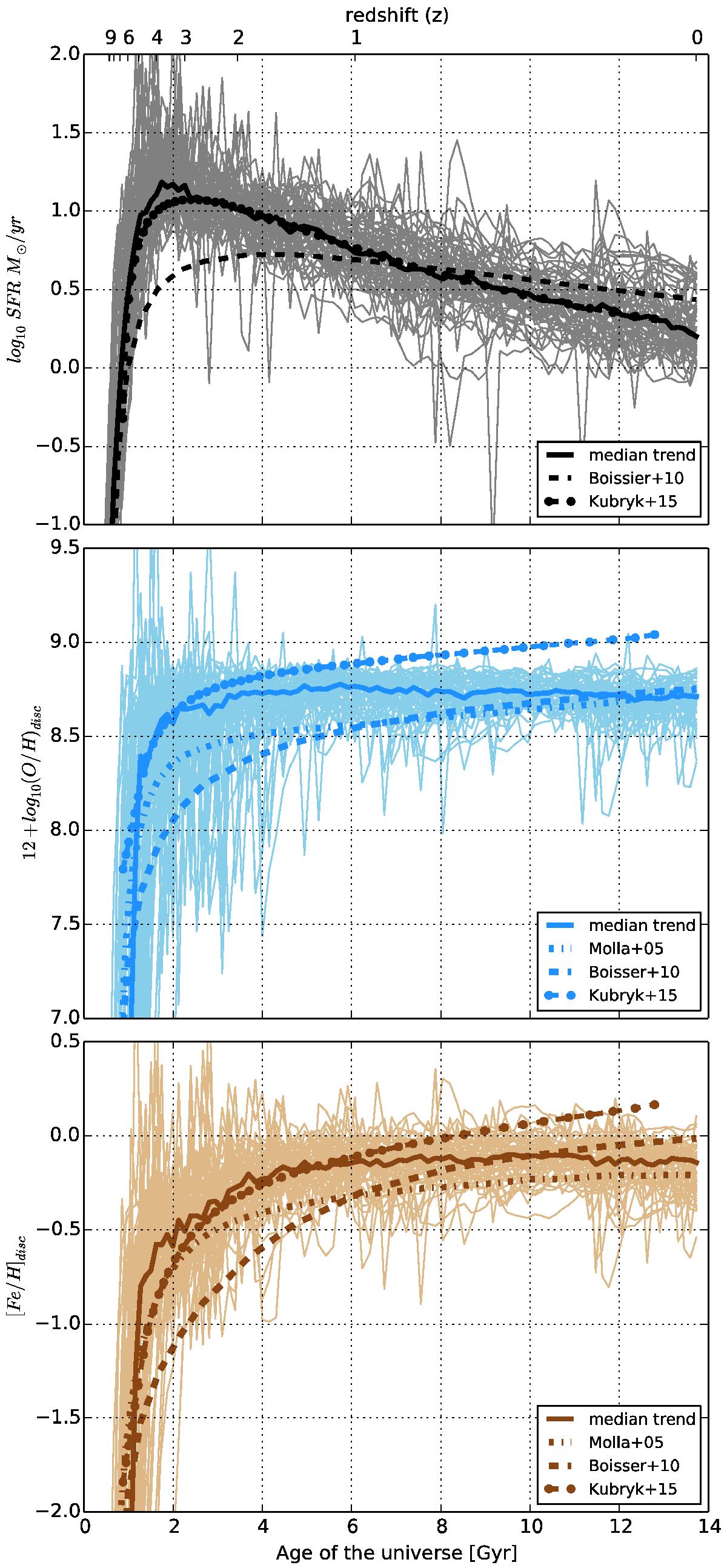
Fig. 9

Star formation and metal enrichment histories for MW-sisters galaxies. The upper panel is dedicated to the star formation history, the central and lower panels to the evolution of the oxygen abundance (12 + log (O / H)) and of the iron abundance ([Fe/H]) in the disk. In each panel, the light colour curves show the individual evolution of our 54 MW-sisters galaxies. The median trends of these evolutions are represented with a solid line. Our results are compared to the results of different detailed chemical evolution models of the MW galaxy: Mollá & Díaz (2005) (dot-dashed line), Boissier et al. (2010) (dashed lined) and Kubryk et al. (2015) (circles connected with a dashed line).
Current usage metrics show cumulative count of Article Views (full-text article views including HTML views, PDF and ePub downloads, according to the available data) and Abstracts Views on Vision4Press platform.
Data correspond to usage on the plateform after 2015. The current usage metrics is available 48-96 hours after online publication and is updated daily on week days.
Initial download of the metrics may take a while.