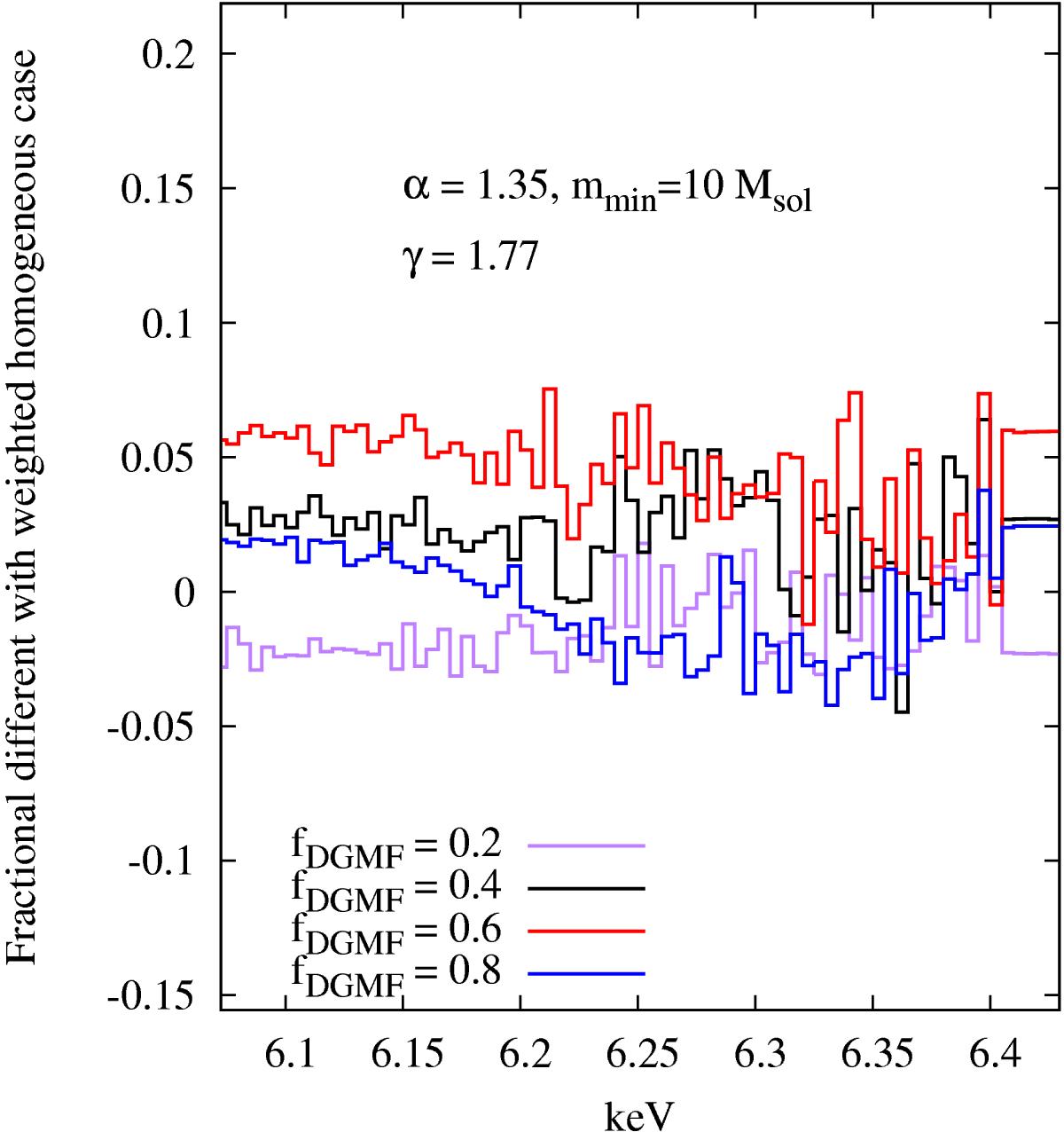
Fig. 5

Fractional difference between the reflected energy spectrum for a cloud model with mass MB2 and a fraction fDGMF of its mass found in clumps and a homogeneous cloud model with total mass MB2 × (1 − fDGMF), shown with a spectral resolution of 20 eV. The fractional difference is negligible for all energies, reinforcing the idea that the clumping of part of the cloud’s mass into very dense regions effectively “hides” that mass from incoming X-rays.
Current usage metrics show cumulative count of Article Views (full-text article views including HTML views, PDF and ePub downloads, according to the available data) and Abstracts Views on Vision4Press platform.
Data correspond to usage on the plateform after 2015. The current usage metrics is available 48-96 hours after online publication and is updated daily on week days.
Initial download of the metrics may take a while.