Free Access
Fig. 1

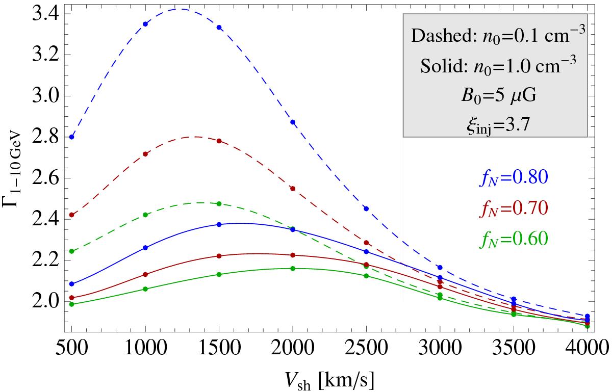
Slope of the gamma-ray spectrum produced by pp collisions in the energy band 1−10 GeV for n0 = 1 cm-3 (solid lines) and n0 = 0.1 cm-3 (dashed lines). From top to bottom, the lines for each case refer to neutral fraction fN = 0.8, 0.7 and 0.6.
Current usage metrics show cumulative count of Article Views (full-text article views including HTML views, PDF and ePub downloads, according to the available data) and Abstracts Views on Vision4Press platform.
Data correspond to usage on the plateform after 2015. The current usage metrics is available 48-96 hours after online publication and is updated daily on week days.
Initial download of the metrics may take a while.