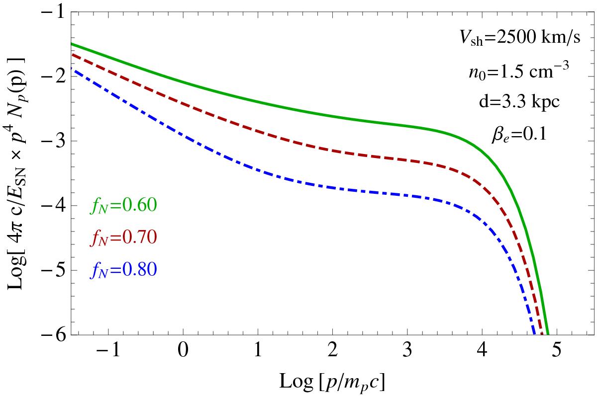
Fig. 2

Spectra of protons accelerated at the northeastern limb of the Tycho SNR for a shock velocity vsh = 2500 km s-1 and upstream total density n0 = 1 cm-3. The three lines refer to neutral fraction fN = 0.6 (solid line), fN = 0.7 (dashed line), and fN = 0.8 (dash-dotted line). A cutoff in the spectra of accelerated protons at ~10 TeV is used and reflects the non-resonant magnetic field amplification of magnetic field, as studied by Bell (2004).
Current usage metrics show cumulative count of Article Views (full-text article views including HTML views, PDF and ePub downloads, according to the available data) and Abstracts Views on Vision4Press platform.
Data correspond to usage on the plateform after 2015. The current usage metrics is available 48-96 hours after online publication and is updated daily on week days.
Initial download of the metrics may take a while.