Free Access

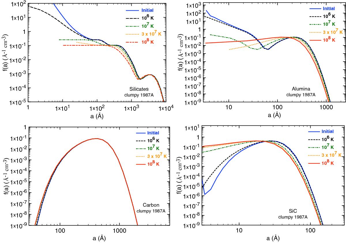
Fig. 11

image

Grain size distributions after thermal sputtering in the inter-clump medium as a function of inter-clump temperature for the clumpy Type II-P ejecta. The initial size distribution for each material is plotted with a full blue line and corresponds to that calculated by Sarangi & Cherchneff (2015).

This figure is made of several images, please see below:

Current usage metrics show cumulative count of Article Views (full-text article views including HTML views, PDF and ePub downloads, according to the available data) and Abstracts Views on Vision4Press platform.

Data correspond to usage on the plateform after 2015. The current usage metrics is available 48-96 hours after online publication and is updated daily on week days.

Initial download of the metrics may take a while.