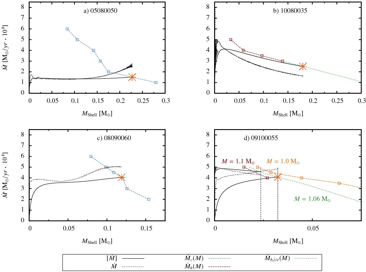
Fig. 5

Tracks of selected systems in the Ṁ−MShell phase space. Ṁ is, as before, the mass transfer rate and [Ṁ] the time-averaged mass transfer rate. Ṁc(MShell) is the detonation line for initially cold models and Ṁh(MShell) for initially hot models (see Sect. 2). The orange star represents the state of the system at the moment of detonation. The detonation lines shown in plots a) and c) are appropriate for each WD CO core mass at the time of detonation. In systems b) and d), the given detonation lines did not cover the necessary parameter space and had to be extrapolated to lower mass transfer rates and interpolated with respect to the WD’s CO core mass. The resulting inter- and extrapolations are given by Ṁh,i/e(MShell). In systems b) and d), mass transfer crosses into the nova regime, which allows for a change in mass of the CO core. The final WD’s CO core mass of system b) is 0.8 M⊙, that of system d) is 1.059 M⊙. As in Fig. 4, the labels identify each system by means of their initial parameters.
Current usage metrics show cumulative count of Article Views (full-text article views including HTML views, PDF and ePub downloads, according to the available data) and Abstracts Views on Vision4Press platform.
Data correspond to usage on the plateform after 2015. The current usage metrics is available 48-96 hours after online publication and is updated daily on week days.
Initial download of the metrics may take a while.