Free Access
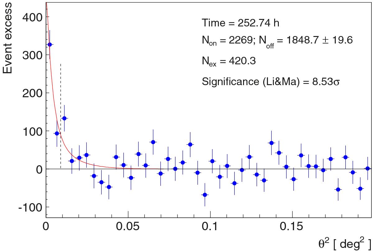
Fig. 2

Excess signal above 250 GeV as a function of the squared distance to NGC 1275 (θ2). The solid red line is the MAGIC PSF fit, and the vertical dashed line shows the optimal θ2 cut used for a point-like source detection.
Current usage metrics show cumulative count of Article Views (full-text article views including HTML views, PDF and ePub downloads, according to the available data) and Abstracts Views on Vision4Press platform.
Data correspond to usage on the plateform after 2015. The current usage metrics is available 48-96 hours after online publication and is updated daily on week days.
Initial download of the metrics may take a while.