Free Access

Fig. 12

image

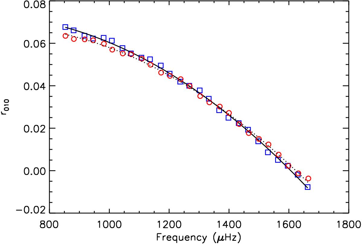
Profile of r010 for two mesa models: one with a diffusive overshooting (f = 0.02) and a 1.3-M mass (blue squares) and the other with a step overshooting (αov = 0.22) and a 1.31-M mass (red circles). Both models have the same mean large separation.

Current usage metrics show cumulative count of Article Views (full-text article views including HTML views, PDF and ePub downloads, according to the available data) and Abstracts Views on Vision4Press platform.

Data correspond to usage on the plateform after 2015. The current usage metrics is available 48-96 hours after online publication and is updated daily on week days.

Initial download of the metrics may take a while.