Free Access

Fig. 3

image

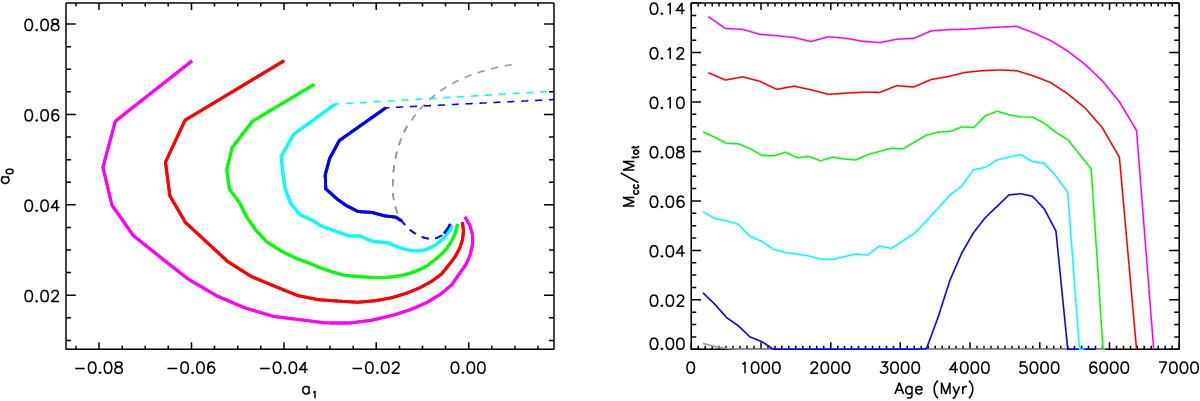
Left: evolutionary tracks of stellar models of 1.2 M in the (a1,a0) plane for different amounts of core overshooting: αov = 0 (gray), 0.1 (blue), 0.15 (cyan), 0.2 (green), 0.25 (red), and 0.3 (purple). Full (resp. dashed) lines indicate that the model has a convective (resp. radiative) core. Right: variations in the size of the convective core as a function of age for the same models.

This figure is made of several images, please see below:

Current usage metrics show cumulative count of Article Views (full-text article views including HTML views, PDF and ePub downloads, according to the available data) and Abstracts Views on Vision4Press platform.

Data correspond to usage on the plateform after 2015. The current usage metrics is available 48-96 hours after online publication and is updated daily on week days.

Initial download of the metrics may take a while.