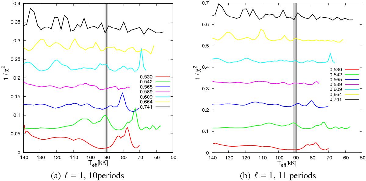
Fig. 11

Inverse of the quality function of the period fit considering ℓ = 1 versus Teff for SDSS J0349−0059, adopting the sets of 10 (left panel) and 11 (right panel) periods (see text for details). The vertical gray strip depicts the spectroscopic Teff of SDSS J0349−0059 and its uncertainties. For clarity, the curves have been arbitrarily shifted upward (with a step of 0.05 in the left panel and 0.1 in the right panel) except for the lowest curve. The asteroseismological model has M⋆ = 0.542 M⊙.
Current usage metrics show cumulative count of Article Views (full-text article views including HTML views, PDF and ePub downloads, according to the available data) and Abstracts Views on Vision4Press platform.
Data correspond to usage on the plateform after 2015. The current usage metrics is available 48-96 hours after online publication and is updated daily on week days.
Initial download of the metrics may take a while.