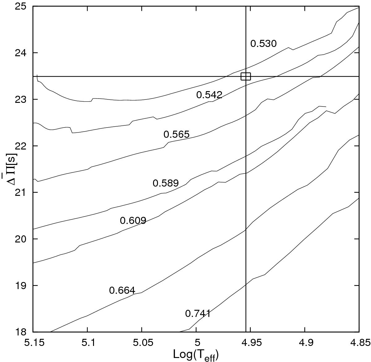
Fig. 9

Dipole average of the computed period spacings, , computed in the range of periods observed in SDSS J0349−0059, corresponding to each PG 1159 evolutionary sequence (solid curves) in terms of the logarithm of the effective temperature. Numbers along each curve denote the stellar mass (in solar units). The observed period spacing,
, derived for SDSS J0349−0059, is depicted with a horizontal solid line. The uncertainties in
and Teff are also indicated.
Current usage metrics show cumulative count of Article Views (full-text article views including HTML views, PDF and ePub downloads, according to the available data) and Abstracts Views on Vision4Press platform.
Data correspond to usage on the plateform after 2015. The current usage metrics is available 48-96 hours after online publication and is updated daily on week days.
Initial download of the metrics may take a while.