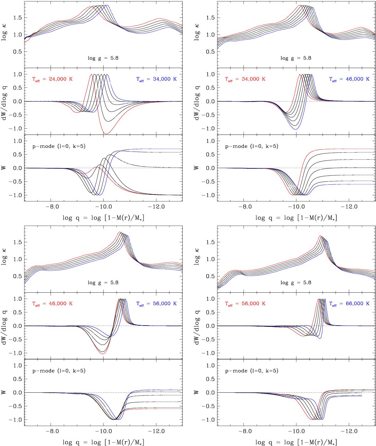
Fig. 12

Sequence of models where the effective temperature is varied from 24 000 K to 66 000 K in steps of 2000 K over the four plots as indicated. The top panel of each plot shows the logarithm of the Rosseland mean opacity, the middle panel shows the derivative of the work integral and the bottom panel shows the cumulative work integral as a function of stellar depth for a representative p-mode (where the centre of the star is to the left and the surface to the right). If the latter is positive at the surface, the mode is excited, otherwise it is stable.
Current usage metrics show cumulative count of Article Views (full-text article views including HTML views, PDF and ePub downloads, according to the available data) and Abstracts Views on Vision4Press platform.
Data correspond to usage on the plateform after 2015. The current usage metrics is available 48-96 hours after online publication and is updated daily on week days.
Initial download of the metrics may take a while.