Free Access
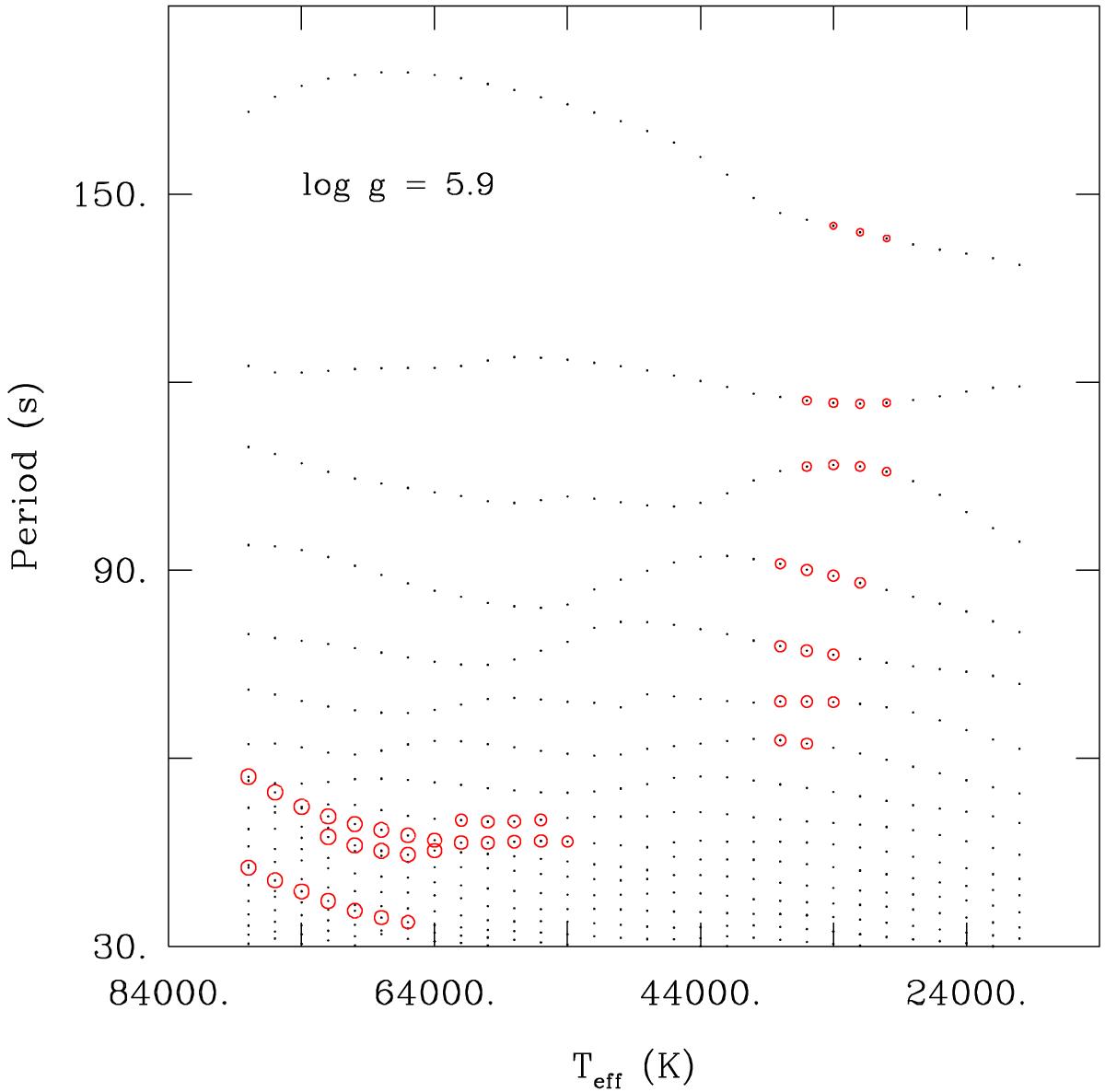
Fig. 13

Periods excited as a function of temperature for a sequence of representative sdB/sdO models. Each red circle refers to an excited mode, while black dots indicate stable modes.
Current usage metrics show cumulative count of Article Views (full-text article views including HTML views, PDF and ePub downloads, according to the available data) and Abstracts Views on Vision4Press platform.
Data correspond to usage on the plateform after 2015. The current usage metrics is available 48-96 hours after online publication and is updated daily on week days.
Initial download of the metrics may take a while.