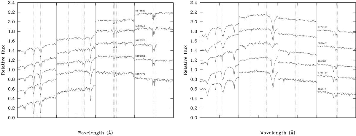
Fig. 7

Some of the strongly polluted (left) and some of the “clean” (right) spectra present in our sample. The four panels in each figure are centred on the Ca II doublet (3830−4030 Å wavelength range shown, left panel), the G-band (4165−4365 Å, second panel from left), the Mg I triplet (5075−5275 Å, second panel from right) and the Na I doublet (5790−5990 Å, right panel). The dashed vertical lines indicate the wavelengths in the rest frame of the stellar spectrum of (from left to right) the Ca II K and H line, the Ca I, CH and Fraunhofer G lines making up the G-band, the Mg I triplet and the Na I doublet (see text for details). In the polluted spectra all of these lines are seen in the rest frame of the stellar spectrum, while in the “clean” spectra the G-band and Mg I triplet are absent and the Ca II and Na I doublets are blue-shifted, indicating an interstellar origin.
Current usage metrics show cumulative count of Article Views (full-text article views including HTML views, PDF and ePub downloads, according to the available data) and Abstracts Views on Vision4Press platform.
Data correspond to usage on the plateform after 2015. The current usage metrics is available 48-96 hours after online publication and is updated daily on week days.
Initial download of the metrics may take a while.