Free Access

Fig. 4

image

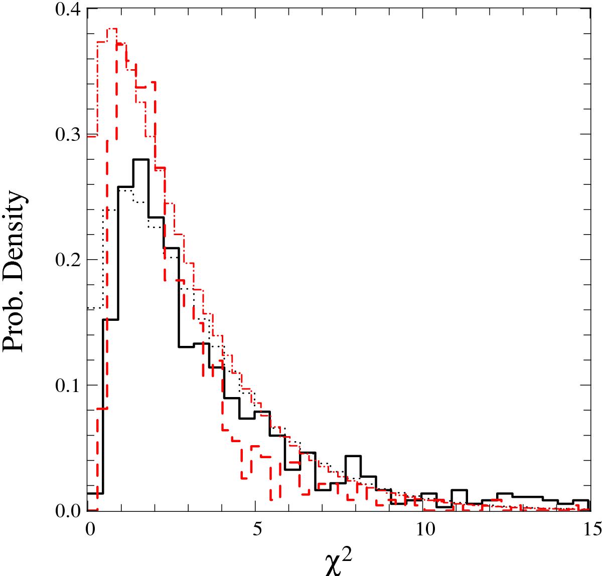
Probability density function of the main sample obtained using MAGPHYS (black solid line) and CIGALE (red dashed line). Black dotted and red dot-dashed line show the best fit obtained from Eq. (1) for MAGPHYS and CIGALE, respectively.

Current usage metrics show cumulative count of Article Views (full-text article views including HTML views, PDF and ePub downloads, according to the available data) and Abstracts Views on Vision4Press platform.

Data correspond to usage on the plateform after 2015. The current usage metrics is available 48-96 hours after online publication and is updated daily on week days.

Initial download of the metrics may take a while.