Free Access

Fig. 6

image

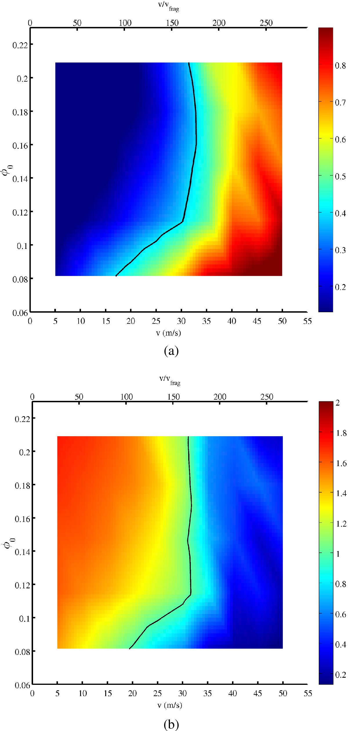
a) Classification of collisions with collision velocity v and initial filling factor φ0 according to the fragmentation number, Ns, Eq. (10), given by the color bar. The black line marks Ns = 0.4, see text. b) Classification by the size of the largest aggregate, N1/N. The black line marks N1/N = 1, Eq. (11).

This figure is made of several images, please see below:

Current usage metrics show cumulative count of Article Views (full-text article views including HTML views, PDF and ePub downloads, according to the available data) and Abstracts Views on Vision4Press platform.

Data correspond to usage on the plateform after 2015. The current usage metrics is available 48-96 hours after online publication and is updated daily on week days.

Initial download of the metrics may take a while.