Free Access

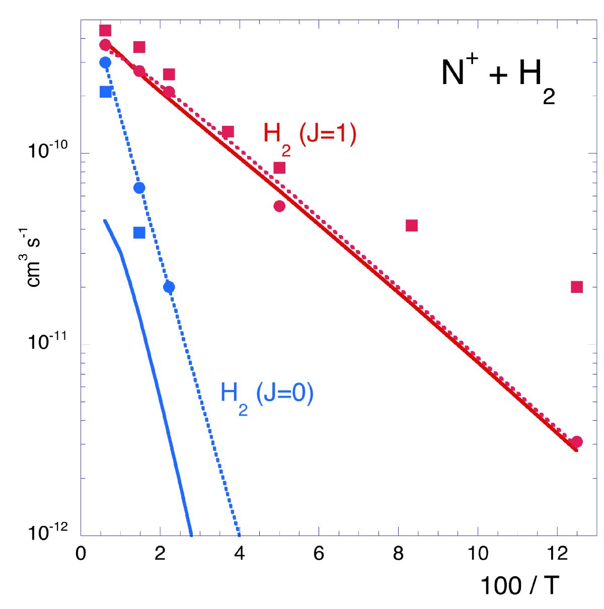
Fig. 4

image

Comparison between computed rate coefficients for the reactions of 14N+ (j = 0) with para- and ortho-H2 (blue and red solid lines, respectively) with the analytic forms suggested by Dislaire et al. (2012) (dotted lines). The experimental values of Marquette et al. (1988) are indicated as full circles, whereas the results of Zymak et al. (2013) are full squares.

Current usage metrics show cumulative count of Article Views (full-text article views including HTML views, PDF and ePub downloads, according to the available data) and Abstracts Views on Vision4Press platform.

Data correspond to usage on the plateform after 2015. The current usage metrics is available 48-96 hours after online publication and is updated daily on week days.

Initial download of the metrics may take a while.