Free Access
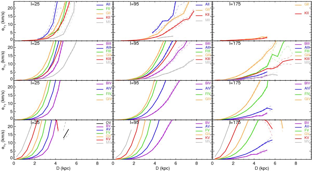
Fig. 12

Median error in transverse velocity VT as a function of distance for stars in the GUMS model for the different spectral types and luminosity classes for three different directions indicated in the panel labels. The dashed lines show the 75% confidence limit of the median.
Current usage metrics show cumulative count of Article Views (full-text article views including HTML views, PDF and ePub downloads, according to the available data) and Abstracts Views on Vision4Press platform.
Data correspond to usage on the plateform after 2015. The current usage metrics is available 48-96 hours after online publication and is updated daily on week days.
Initial download of the metrics may take a while.