Free Access
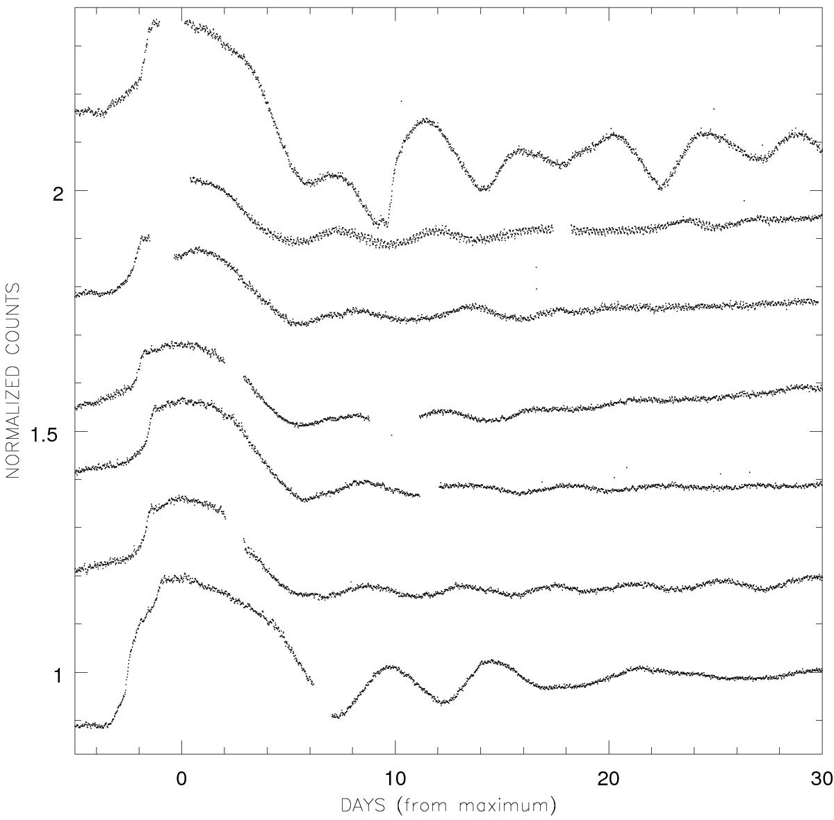
Fig. 4

Stack of a selection of “post outburst” oscillations observed in V523 Lyr light curve. From bottom to top we plot outbursts 2, X(2), 15, 24, 27, and 28 (see, e.g., Fig. 3). The second light curve from the top clearly shows the small amplitude short period modulation: the 0.151 day period discussed in Sect. 5.2.
Current usage metrics show cumulative count of Article Views (full-text article views including HTML views, PDF and ePub downloads, according to the available data) and Abstracts Views on Vision4Press platform.
Data correspond to usage on the plateform after 2015. The current usage metrics is available 48-96 hours after online publication and is updated daily on week days.
Initial download of the metrics may take a while.