Free Access
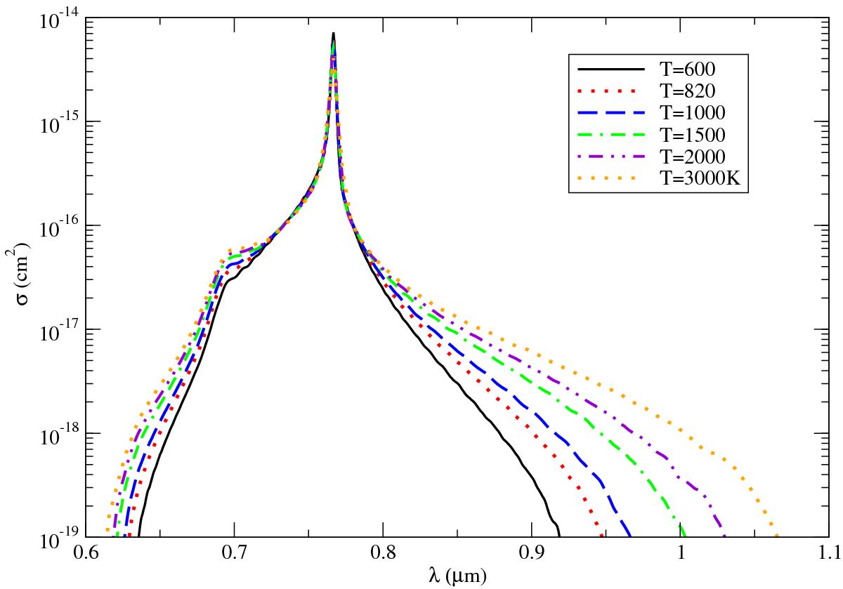
Fig. 8

Variation with temperature of the D2 component of the K I resonance doublet perturbed by H2. The density of perturbers is nH2 = 1021 cm-3.
Current usage metrics show cumulative count of Article Views (full-text article views including HTML views, PDF and ePub downloads, according to the available data) and Abstracts Views on Vision4Press platform.
Data correspond to usage on the plateform after 2015. The current usage metrics is available 48-96 hours after online publication and is updated daily on week days.
Initial download of the metrics may take a while.