Free Access

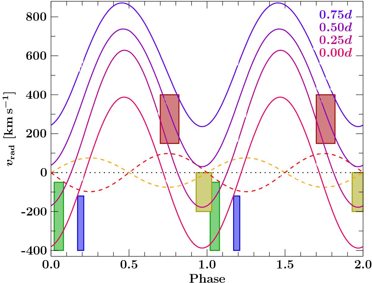
Fig. 10

image

Radial velocities of the black hole (red dashed line) and of HDE 226868 (orange dashed line) and wind velocities projected onto the line of sight as a function of distance from the black hole. Distances are given in units of the distance between the black hole and its donor, a. Colored boxes indicate the range of the measured Doppler shifts from the Chandra observations, excluding ObsID 11044.

Current usage metrics show cumulative count of Article Views (full-text article views including HTML views, PDF and ePub downloads, according to the available data) and Abstracts Views on Vision4Press platform.

Data correspond to usage on the plateform after 2015. The current usage metrics is available 48-96 hours after online publication and is updated daily on week days.

Initial download of the metrics may take a while.