Free Access

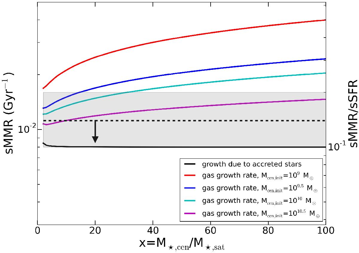
Fig. 2

image

Specific merger mass accretion rate (in units of Gyr-1) as a function of the stellar mass ratio of mergers, for z = 0. The lines are exactly the same as in Fig. 1 but now we use the measured mean Hi-to-stellar mass ratio as a function of stellar mass from a reference sample of local galaxies with normal sSFR from Papastergis et al. (2012), and sSFR = 0.08 Gyr-1. We also indicate the determinations of the Hi accretion rate from two surveys of local spirals (Sancisi et al. 2008; Di Teodoro & Fraternali 2014, gray-shaded region and dashed lines respectively; see text for details).

Current usage metrics show cumulative count of Article Views (full-text article views including HTML views, PDF and ePub downloads, according to the available data) and Abstracts Views on Vision4Press platform.

Data correspond to usage on the plateform after 2015. The current usage metrics is available 48-96 hours after online publication and is updated daily on week days.

Initial download of the metrics may take a while.