Free Access

Fig. 7

image

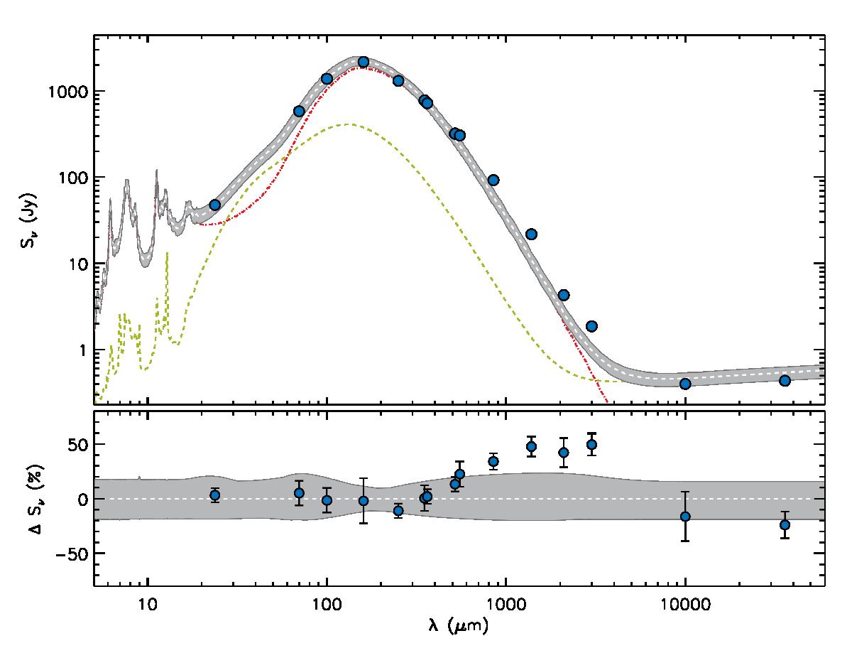
Top: combination of the best-fitting models for the SF component (green dashed line, see Fig. 5 for details) and the diffuse component (red dashed-dotted line, see Fig. 6 for details). The blue filled circles are the observed fluxes for the entire galaxy presented in Table 2. The white dashed line and the gray shaded area correspond to the direct sum of the best-fitting models and their uncertainties obtained for the SF and the diffuse components. For clarity, errors are only shown in the bottom panel. Bottom: residuals of the fitting procedure. The blue filled circles correspond to the percentage difference of the observed fluxes and the best-fitting model (white dashed line). The gray shaded area gives the uncertainty of the best-fitting model in terms of percentage.

Current usage metrics show cumulative count of Article Views (full-text article views including HTML views, PDF and ePub downloads, according to the available data) and Abstracts Views on Vision4Press platform.

Data correspond to usage on the plateform after 2015. The current usage metrics is available 48-96 hours after online publication and is updated daily on week days.

Initial download of the metrics may take a while.