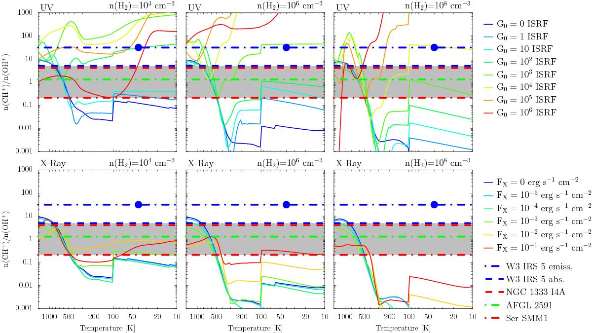
Fig. 7

Column density ratio of CH+ to OH+ vs. gas temperature for several chemical toy models (densities given above the figures) for FUV irradiation without X-rays (top) and X-ray irradiation without FUV (bottom). The radiation levels are color coded. The range of observed values for absorption lines is shaded. The excitation temperature for CH+ from 1D slab model fitting of emission lines (Table B.1) is indicated with a blue dot.
Current usage metrics show cumulative count of Article Views (full-text article views including HTML views, PDF and ePub downloads, according to the available data) and Abstracts Views on Vision4Press platform.
Data correspond to usage on the plateform after 2015. The current usage metrics is available 48-96 hours after online publication and is updated daily on week days.
Initial download of the metrics may take a while.