Free Access

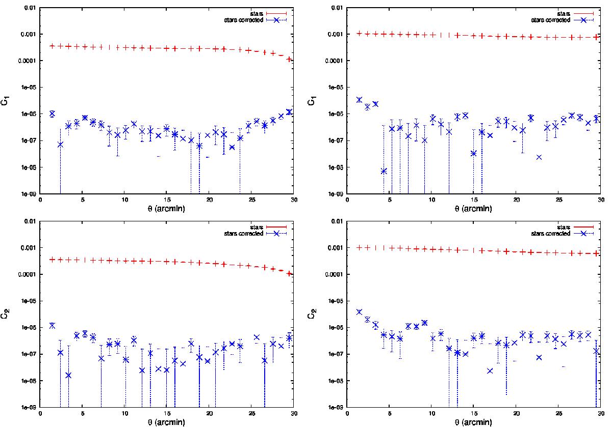
Fig. A.1

image

Correlation functions of stellar ellipticities before (red) and after correcting for the PSF (blue) for a Subaru/Suprime-Cam field (MACSJ0717) on the left and a CFHT/Megacam field (RXJ2328) on the right. For the corrected auto-correlation function, we plot the absolute values while the true values fluctuate around zero because negative values are not well-displayed in logscale.

This figure is made of several images, please see below:

Current usage metrics show cumulative count of Article Views (full-text article views including HTML views, PDF and ePub downloads, according to the available data) and Abstracts Views on Vision4Press platform.

Data correspond to usage on the plateform after 2015. The current usage metrics is available 48-96 hours after online publication and is updated daily on week days.

Initial download of the metrics may take a while.