Free Access

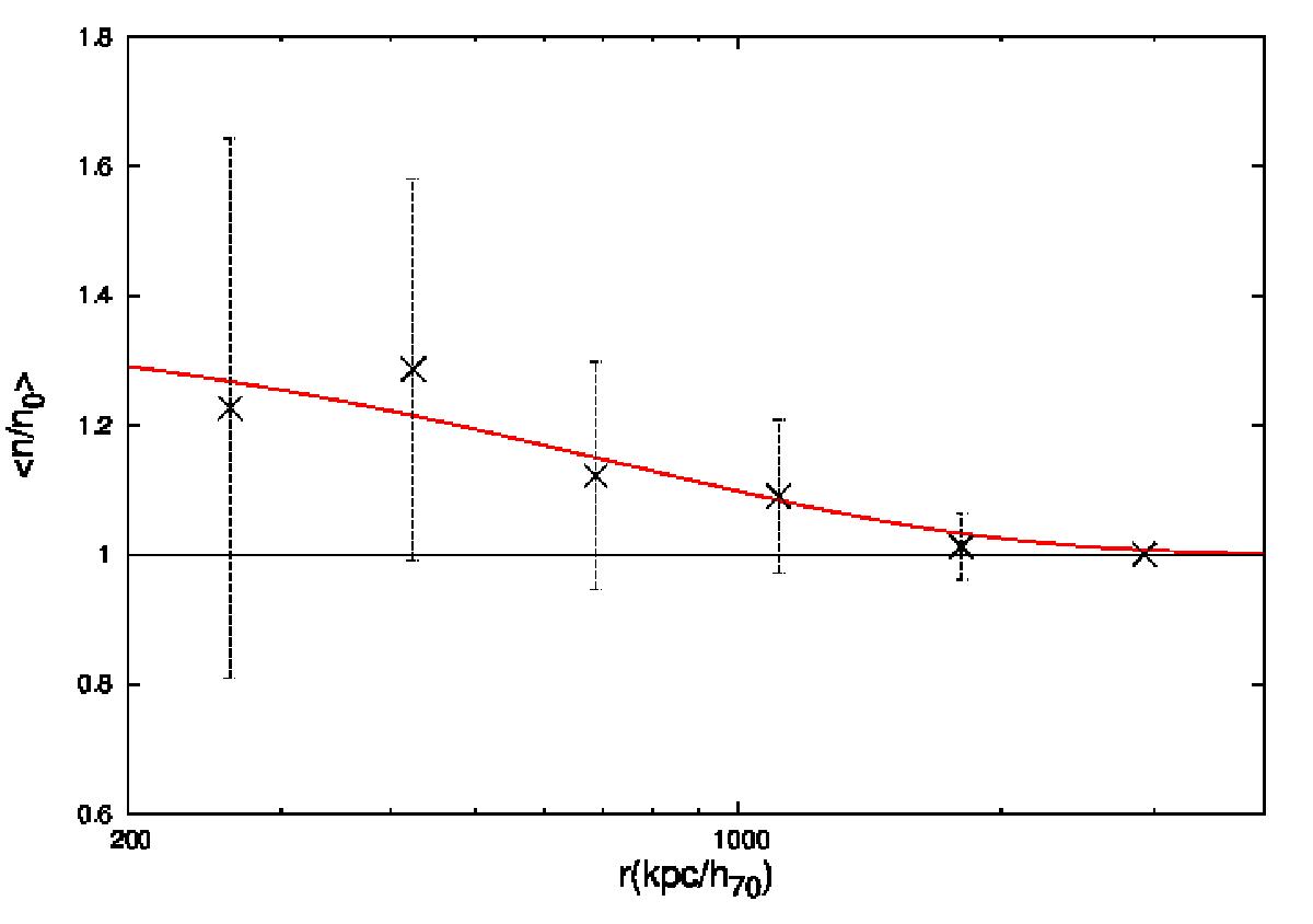
Fig. 3

image

Stacked normalized galaxy density profile for all clusters. Error bars are the dispersion of values in the stack. Radius is in comoving distance and in kpc units. Individual profiles are centered on the WL peak. The red curve is the best exponential fit (see Eq. (5)) to the data.

Current usage metrics show cumulative count of Article Views (full-text article views including HTML views, PDF and ePub downloads, according to the available data) and Abstracts Views on Vision4Press platform.

Data correspond to usage on the plateform after 2015. The current usage metrics is available 48-96 hours after online publication and is updated daily on week days.

Initial download of the metrics may take a while.