Free Access

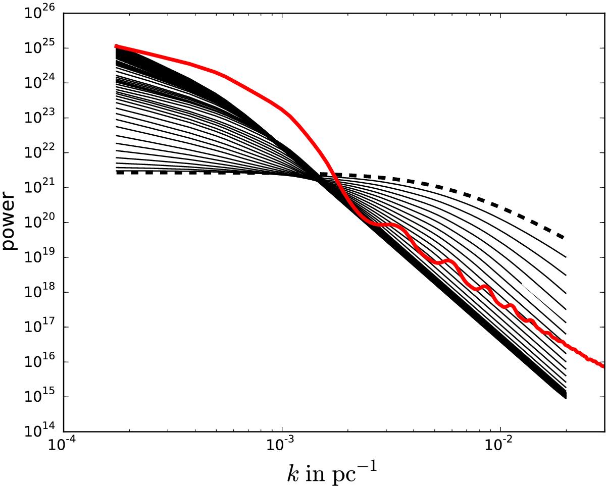
Fig. C.1

image

Power spectrum changing with the iterations. The thick dashed line is the initial guess, the bulge of black lines is where the algorithm converges. The thick solid red line is the power spectrum of the logarithmic Galaxy model with medium fluctuations. The power spectrum is in arbitrary units.

Current usage metrics show cumulative count of Article Views (full-text article views including HTML views, PDF and ePub downloads, according to the available data) and Abstracts Views on Vision4Press platform.

Data correspond to usage on the plateform after 2015. The current usage metrics is available 48-96 hours after online publication and is updated daily on week days.

Initial download of the metrics may take a while.