Free Access

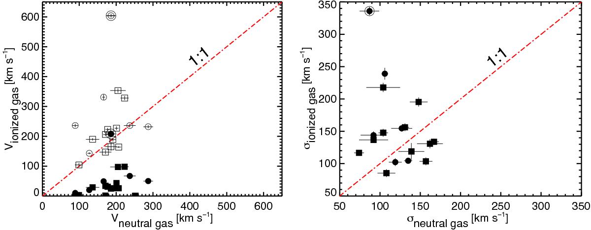
Fig. 6

image

Comparison of neutral and ionized outflows velocities (left) and velocity dispersions (right), as derived from the (1D) integrated spectra. Results for the ionized outflows come from Arribas et al. (2014). The symbols used are the same as in Fig. 5. Specifically, filled squares and circles are for starbursts and for AGN hosts, respectively, while very strong AGN are indicated with an additional second circle. In the left panel, solid symbols indicate velocities measured at the center of the line, while the empty symbols indicate the ionized gas velocities, Vmax, from Arribas et al. (2014). The dot-dashed line indicates the 1:1 relation in both panels.

Current usage metrics show cumulative count of Article Views (full-text article views including HTML views, PDF and ePub downloads, according to the available data) and Abstracts Views on Vision4Press platform.

Data correspond to usage on the plateform after 2015. The current usage metrics is available 48-96 hours after online publication and is updated daily on week days.

Initial download of the metrics may take a while.