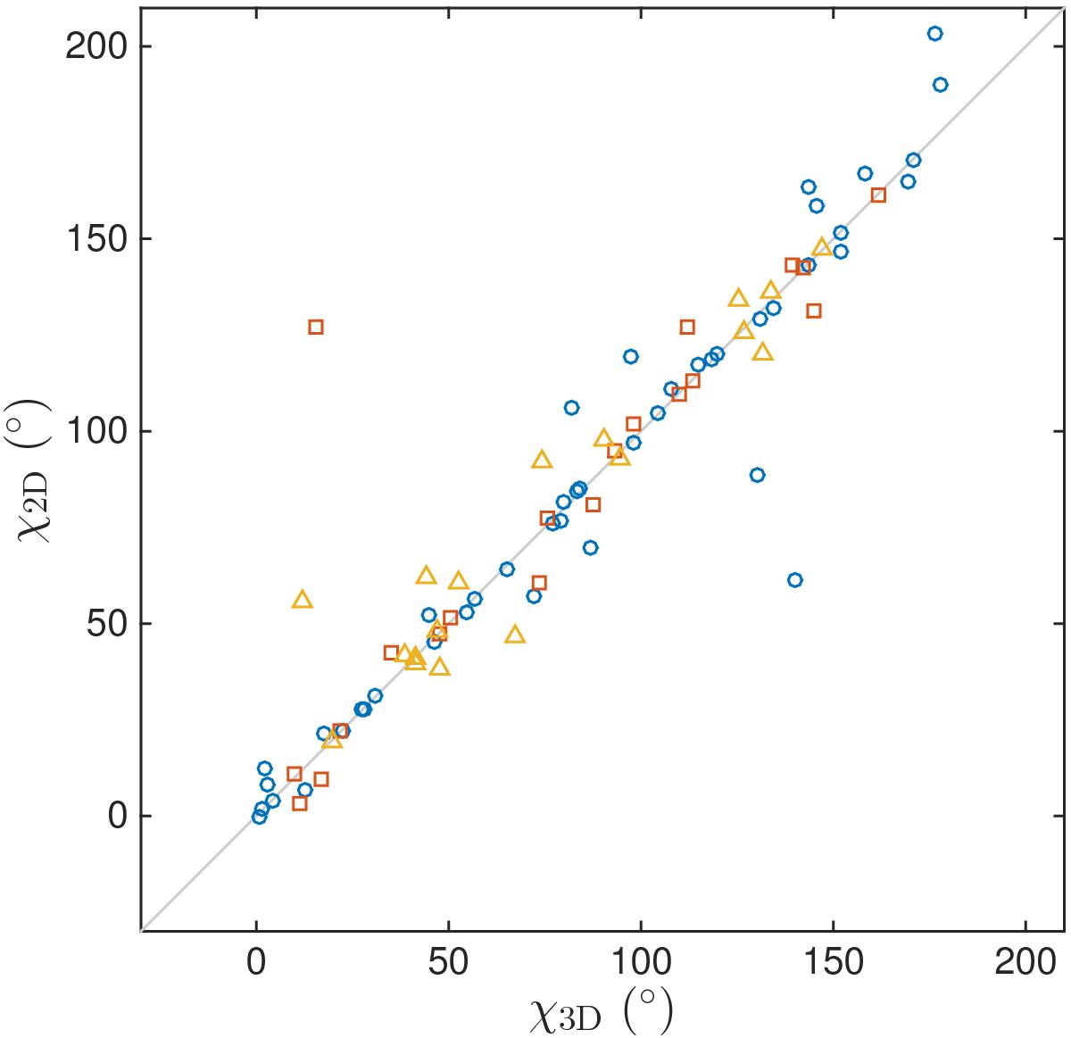
Fig. 2

Morphological position angles (in degrees) of the large quasar groups determined with the two-dimensional method (χ2D) as a function of those determined with the three-dimensional one (χ3D) for the 83 LQGs with m ≥ 5. Circles, squares, and triangles show LQGs with richness m< 10, 10 ≤ m< 20, and m ≥ 20, respectively. Some values of χ2D have been adjusted by 180° for clarity.
Current usage metrics show cumulative count of Article Views (full-text article views including HTML views, PDF and ePub downloads, according to the available data) and Abstracts Views on Vision4Press platform.
Data correspond to usage on the plateform after 2015. The current usage metrics is available 48-96 hours after online publication and is updated daily on week days.
Initial download of the metrics may take a while.