Free Access

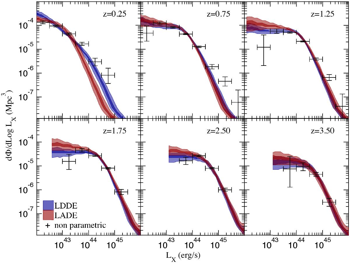
Fig. 6

image

Luminosity function, from combined XMM-LSS, CDFS, and COSMOS data, with binned estimates (black data points with 1σ error bars) and Bayesian highest posterior densities (HPD) under the LDDE (blue area) and LADE (red area) models. For both models, the darker areas show the 68.3% HPD intervals, while the lighter areas show the 99.7% HPD intervals.

Current usage metrics show cumulative count of Article Views (full-text article views including HTML views, PDF and ePub downloads, according to the available data) and Abstracts Views on Vision4Press platform.

Data correspond to usage on the plateform after 2015. The current usage metrics is available 48-96 hours after online publication and is updated daily on week days.

Initial download of the metrics may take a while.