Free Access

Fig. 1

image

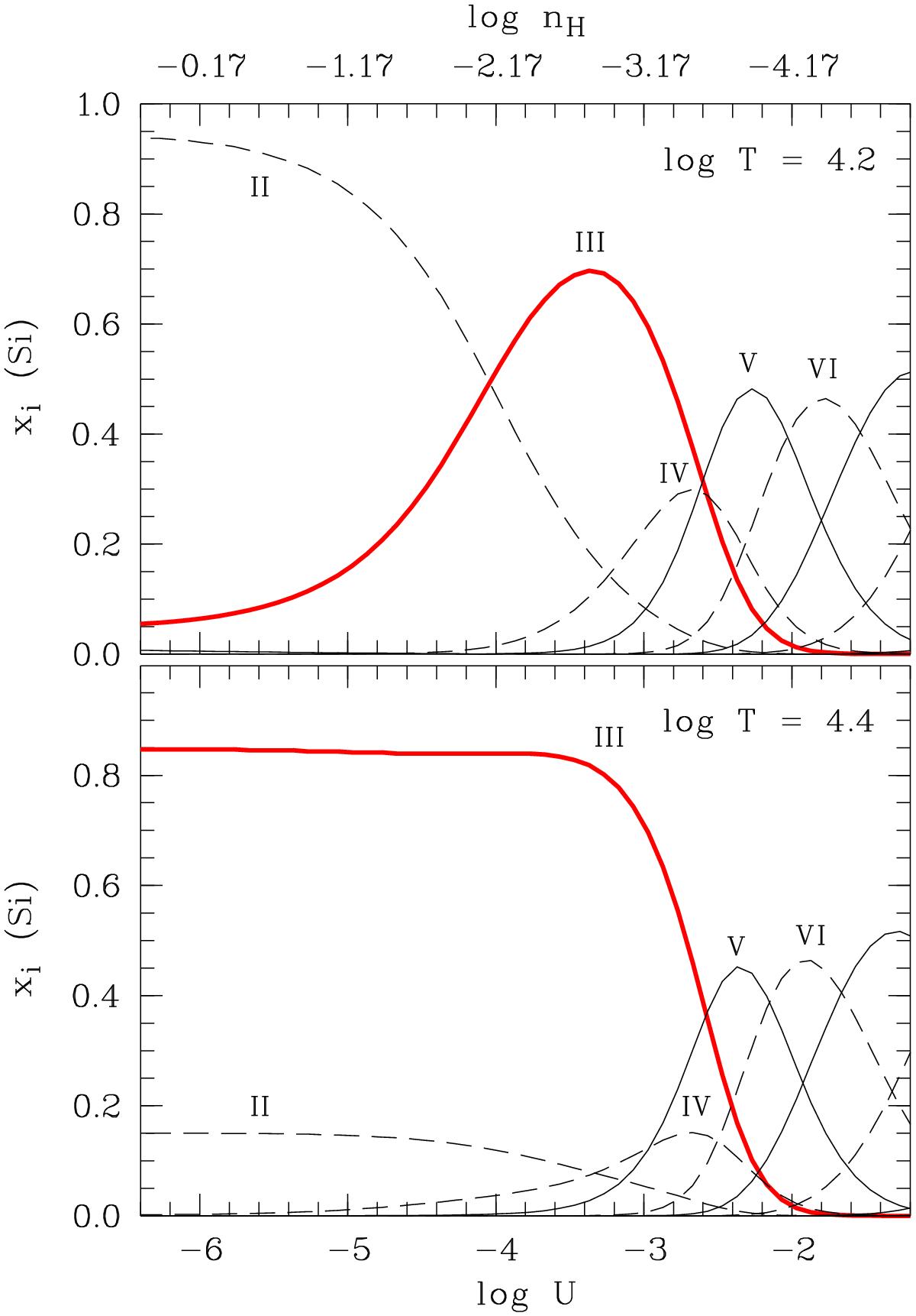
Ionization fractions of different Si ionization states for different gas densities and temperatures, as calculated from a Cloudy ionization model (including photoionization and collisional ionization) of circumgalactic gas at z = 0 using the local UV background. The upper panel shows a model for log T = 4.2, the lower panel a model for log T = 4.4. The Si iii ion represents the dominant ionization state in the density range that is characteristic for circumgalactic gas structures that are embedded in hot coronal gas (log nH = −2.0 to −3.5).

Current usage metrics show cumulative count of Article Views (full-text article views including HTML views, PDF and ePub downloads, according to the available data) and Abstracts Views on Vision4Press platform.

Data correspond to usage on the plateform after 2015. The current usage metrics is available 48-96 hours after online publication and is updated daily on week days.

Initial download of the metrics may take a while.