Free Access

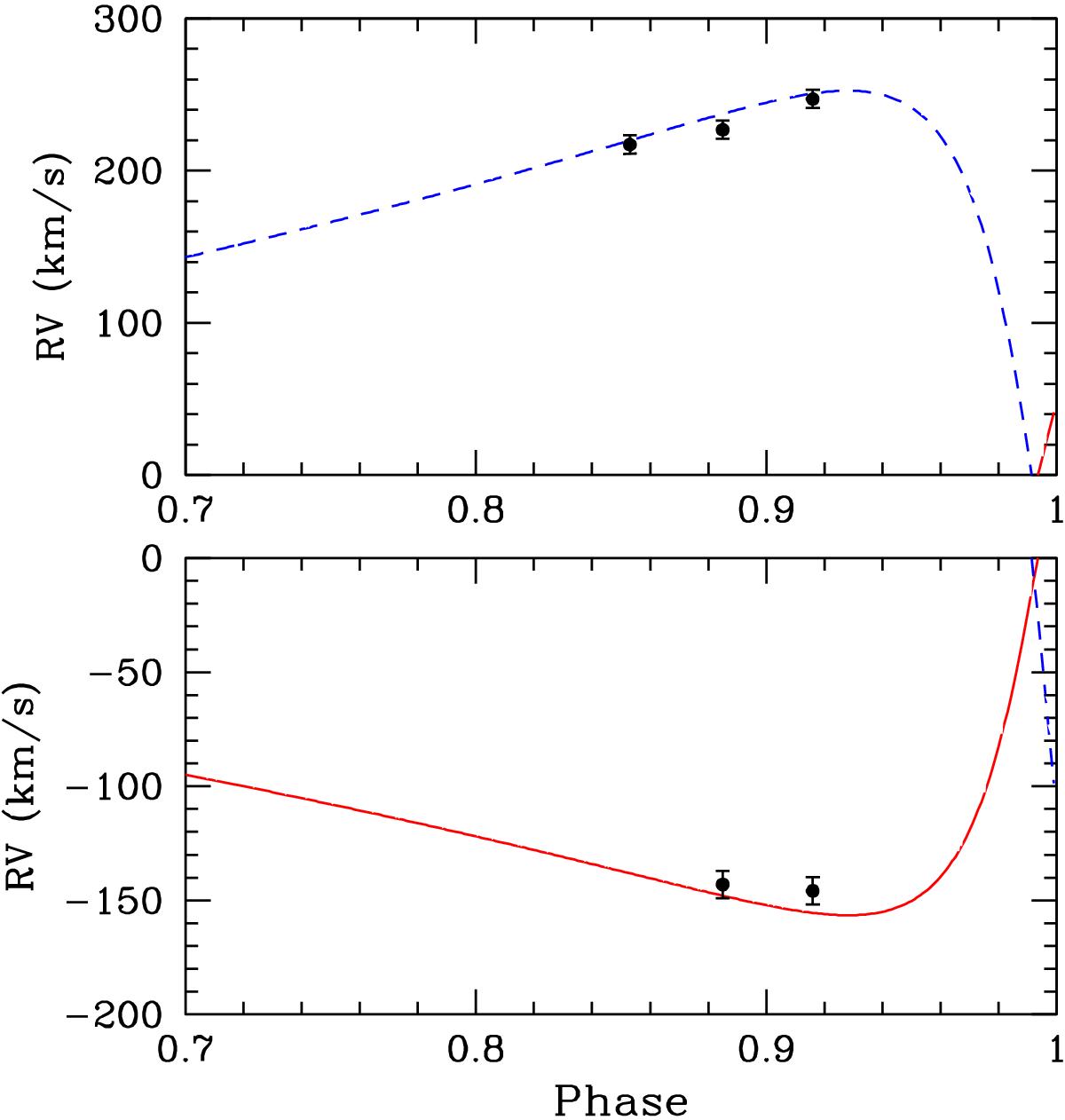
Fig. 4

image

Radial velocity curves for both components in WR 21a from the orbital solution of Tramper et al. (2016). The dashed blue and continuous red lines provide the curves for the secondary and primary, respectively. The dots represent the RVs measured on the 2013 FEROS spectra acquired contemporaneously with the XMM-Newton data. The agreement with the pre-established orbital solution is good. The error-bars represent 1σ standard deviation.

Current usage metrics show cumulative count of Article Views (full-text article views including HTML views, PDF and ePub downloads, according to the available data) and Abstracts Views on Vision4Press platform.

Data correspond to usage on the plateform after 2015. The current usage metrics is available 48-96 hours after online publication and is updated daily on week days.

Initial download of the metrics may take a while.