Free Access

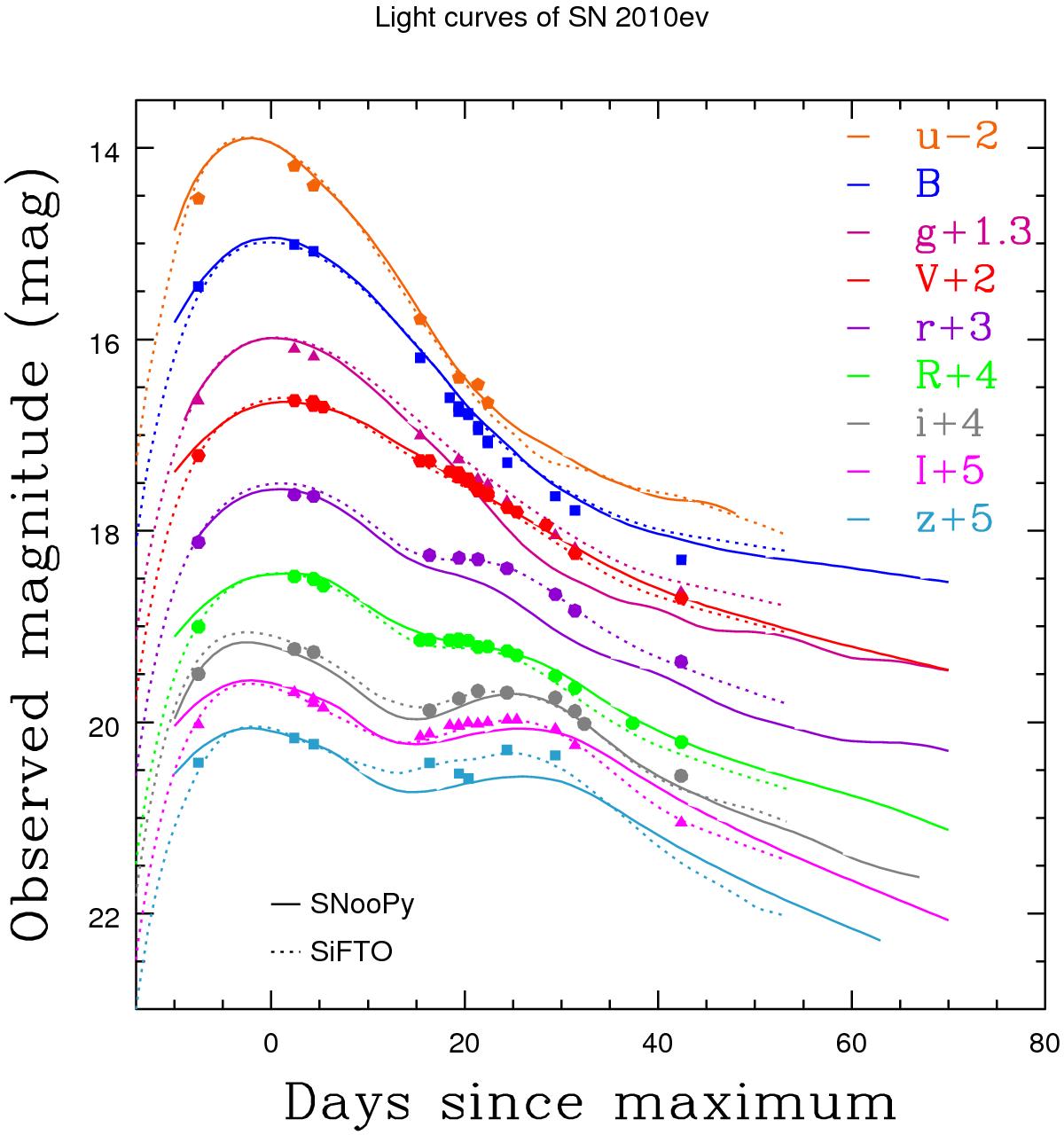
Fig. 2

image

BVRI and ugriz light curves of SN 2010ev. The SNooPy fits are shown with solid lines while the SiFTO fits are shown with dotted lines. The light curves have been shifted by the amount shown in the label.

Current usage metrics show cumulative count of Article Views (full-text article views including HTML views, PDF and ePub downloads, according to the available data) and Abstracts Views on Vision4Press platform.

Data correspond to usage on the plateform after 2015. The current usage metrics is available 48-96 hours after online publication and is updated daily on week days.

Initial download of the metrics may take a while.