Free Access

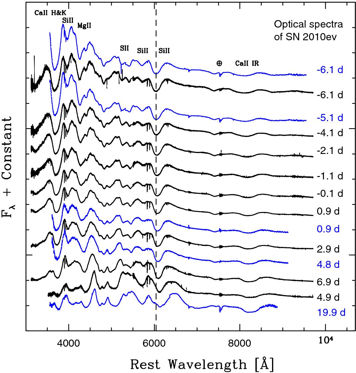
Fig. 4

image

Spectroscopic sequence of SN 2010ev ranging from −6.1 to 19.9 days around B-band maximum. Each spectrum has been corrected for Milky Way reddening and shifted by an arbitrary amount for presentation. We show low resolution spectra in blue and medium resolution spectra in black. The phases are labeled on the right.

Current usage metrics show cumulative count of Article Views (full-text article views including HTML views, PDF and ePub downloads, according to the available data) and Abstracts Views on Vision4Press platform.

Data correspond to usage on the plateform after 2015. The current usage metrics is available 48-96 hours after online publication and is updated daily on week days.

Initial download of the metrics may take a while.