Free Access

Fig. 2

image

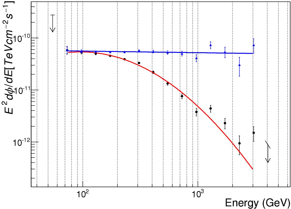
Spectral energy distribution of 1ES 1011+496 for the 17 nights of observations between February 6 and March 7 2014. The black dots are the observed data and the blue triangles are the data after EBL de-absorption. The red line indicates the fit to a broken power law with transition region function of the observed SED, whereas the blue line indicates the fit to a power-law function of the de-absorbed SED.

Current usage metrics show cumulative count of Article Views (full-text article views including HTML views, PDF and ePub downloads, according to the available data) and Abstracts Views on Vision4Press platform.

Data correspond to usage on the plateform after 2015. The current usage metrics is available 48-96 hours after online publication and is updated daily on week days.

Initial download of the metrics may take a while.