Free Access

Fig. 8

image

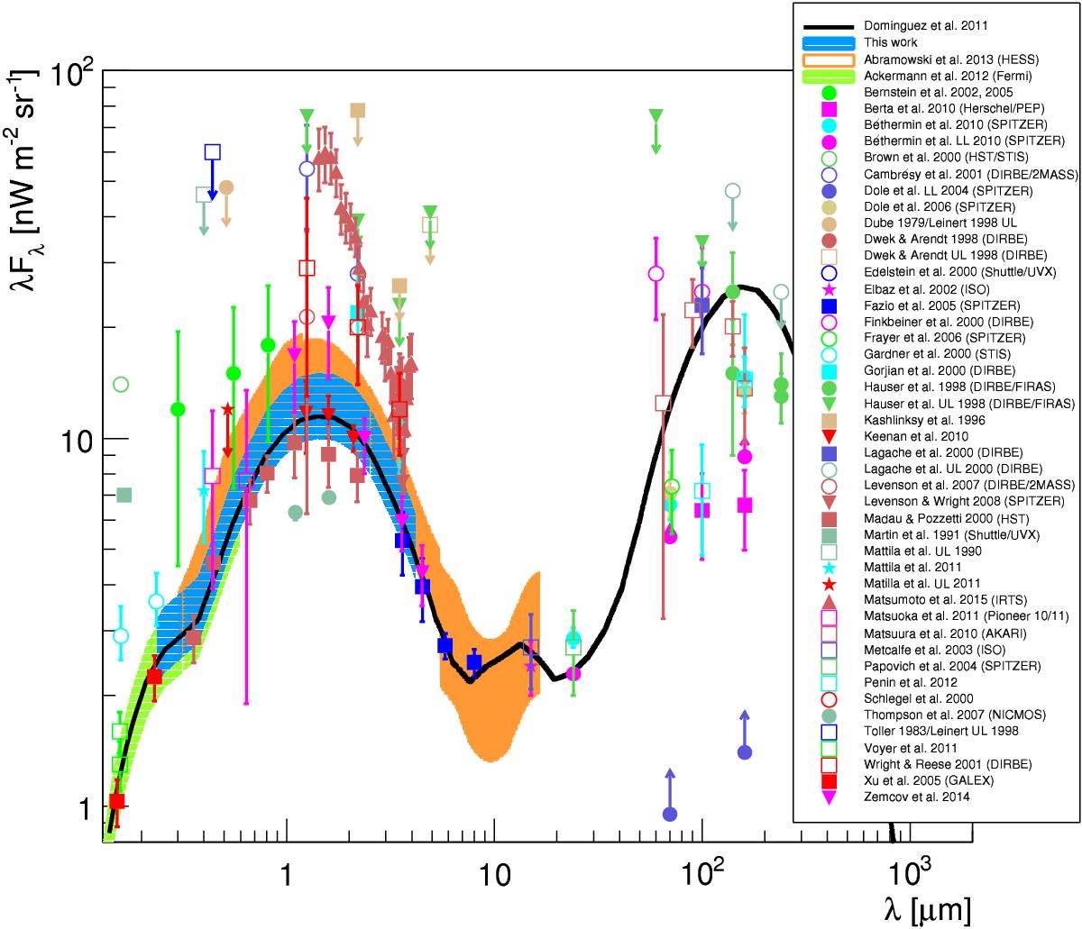
Extragalactic background light intensity versus wavelength at z = 0. The solid black line is the EBL template model (Domínguez et al. 2011) that was used for our calculations. The azure shaded area spans the wavelength range for which our constraint is valid, scaled from the EBL template. The width of the shaded area includes the statistical and systematic uncertainties. The orange area is the EBL constraint by Abramowski et al. (2013) and the green shaded area is the constraint by Ackermann et al. (2012). As a comparison, we include the direct measurements by Dwek & Arendt (1998), Hauser et al. (1998), Finkbeiner et al. (2000), Lagache et al. (2000), Gorjian et al. (2000), Cambrésy et al. (2001), Wright (2001), Krick & Bernstein (2005), Matsumoto et al. (2005), Matsuoka et al. (2011), and Matsumoto et al. (2015). Also galaxy-count data is included, from Brown et al. (2000), Gardner et al. (2000), Madau & Pozzetti (2000), Elbaz et al. (2002), Metcalfe et al. (2003), Dole et al. (2004), Papovich et al. (2004), Fazio (2005), Xu et al. (2005), Frayer et al. (2006), Levenson et al. (2007), Thompson et al. (2007), Levenson & Wright (2008), Béthermin et al. (2010), Berta et al. (2010), Keenan et al. (2010) and Voyer et al. (2011). The upper limits shown are from Dube et al. (1979), Martin & Rouleau (1991), Mattila & et al. (1991), Kashlinsky et al. (1996) and Edelstein et al. (2000). Also shown are large-scale anisotropy measurements from Pénin et al. (2012) and Zemcov et al. (2014).

Current usage metrics show cumulative count of Article Views (full-text article views including HTML views, PDF and ePub downloads, according to the available data) and Abstracts Views on Vision4Press platform.

Data correspond to usage on the plateform after 2015. The current usage metrics is available 48-96 hours after online publication and is updated daily on week days.

Initial download of the metrics may take a while.