Highlight
Free Access

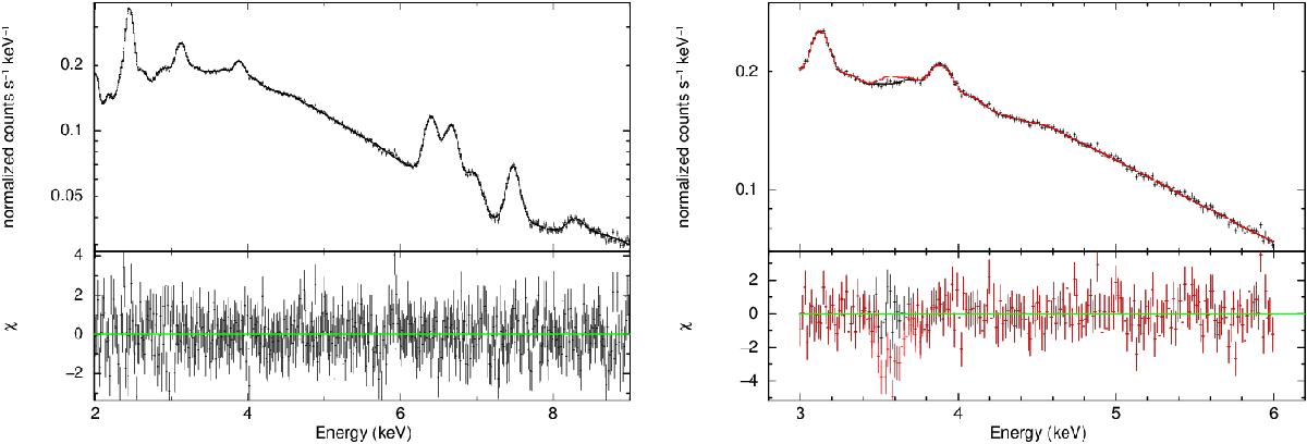
Fig. 2

image

Left: the stacked spectrum and best-fit base model (without any additional line emission) in normalised counts keV-1 s-1, and χ residuals below for the 2.0−9.0 keV. No significant emission line excess is seen around 3.5 keV. Right: same for the 3.0−6.0 keV interval. The red curve shows the model including the mass-scaled expected signal from Bulbul et al. (2014) and residuals under the assumption of a Navarro-Frenk-White (NFW) profile for the Milky Way dark matter halo.

This figure is made of several images, please see below:

Current usage metrics show cumulative count of Article Views (full-text article views including HTML views, PDF and ePub downloads, according to the available data) and Abstracts Views on Vision4Press platform.

Data correspond to usage on the plateform after 2015. The current usage metrics is available 48-96 hours after online publication and is updated daily on week days.

Initial download of the metrics may take a while.