Free Access

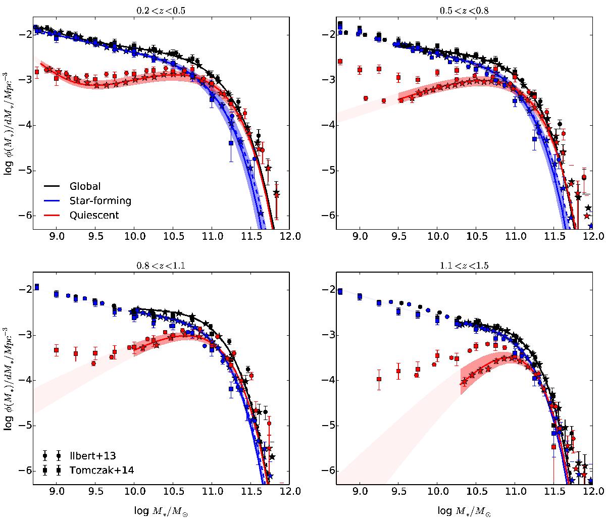
Fig. 13

image

Stellar mass function for all (black), star-forming (blue), and quiescent (red) galaxies in four redshift bins. The solid lines show the best parametric form of our SMF measurements (stars), while the shaded areas represent the systematic uncertainty due to the SF/Q separation (cf. Sect. 5.1). The dashed lines show the parametric forms obtained if a single-Schechter function is assumed to fit the SF population. The measurements of Tomczak et al. (2014, squares) and Ilbert et al. (2013, circles) are plotted for comparison.

Current usage metrics show cumulative count of Article Views (full-text article views including HTML views, PDF and ePub downloads, according to the available data) and Abstracts Views on Vision4Press platform.

Data correspond to usage on the plateform after 2015. The current usage metrics is available 48-96 hours after online publication and is updated daily on week days.

Initial download of the metrics may take a while.