Free Access

Fig. 19

image

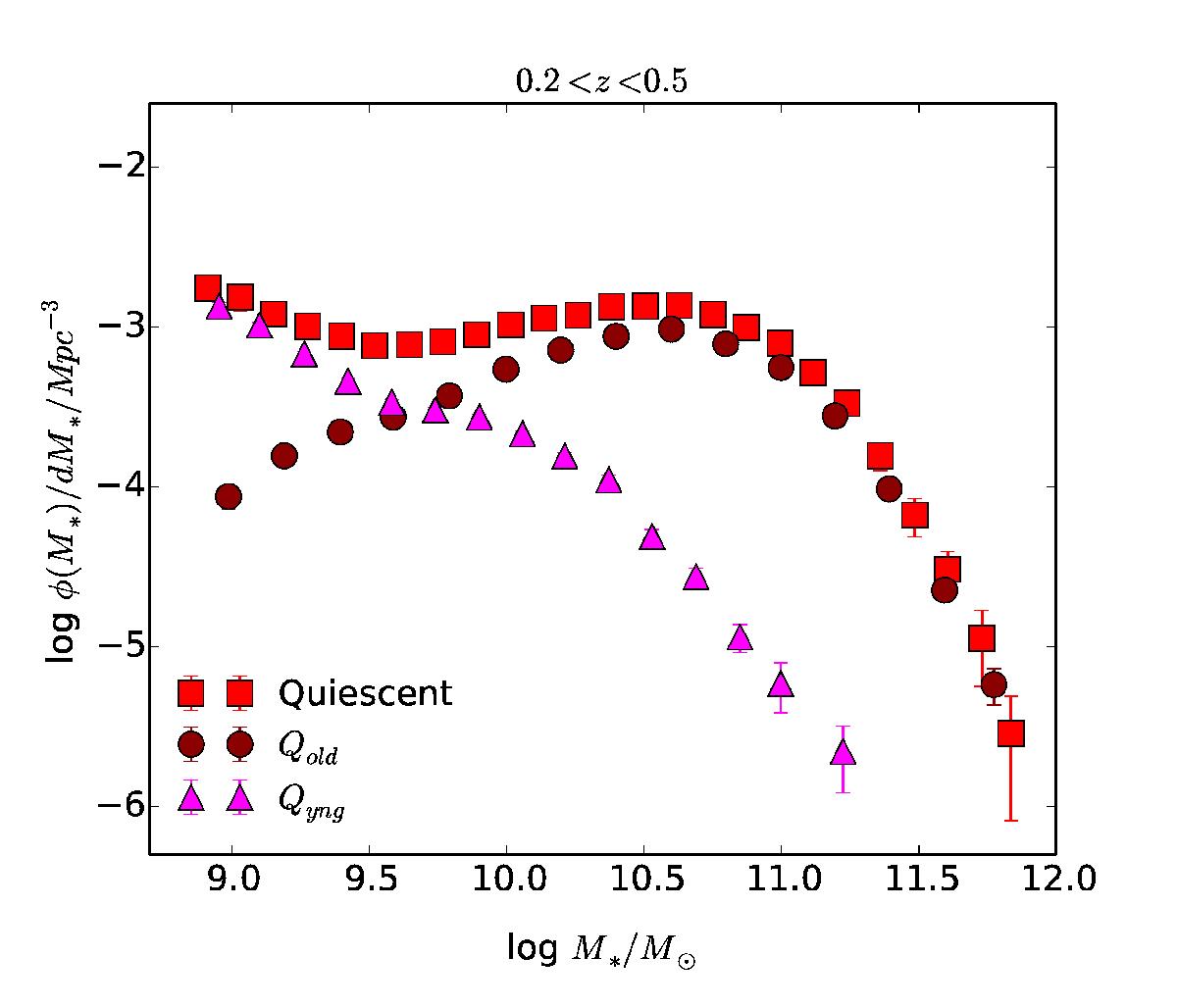
Deconstruction of the quiescent SMF at 0.2 <z< 0.5. The red squares represent the measurement for the whole quiescent population, while the magenta triangles and the darkred circles show the SMF for the young (Qyng) [(rKs)°< 0.76] and old (Qold) [(rKs)°> 0.76] quiescent populations, respectively.

Current usage metrics show cumulative count of Article Views (full-text article views including HTML views, PDF and ePub downloads, according to the available data) and Abstracts Views on Vision4Press platform.

Data correspond to usage on the plateform after 2015. The current usage metrics is available 48-96 hours after online publication and is updated daily on week days.

Initial download of the metrics may take a while.