Free Access

Fig. 10

image

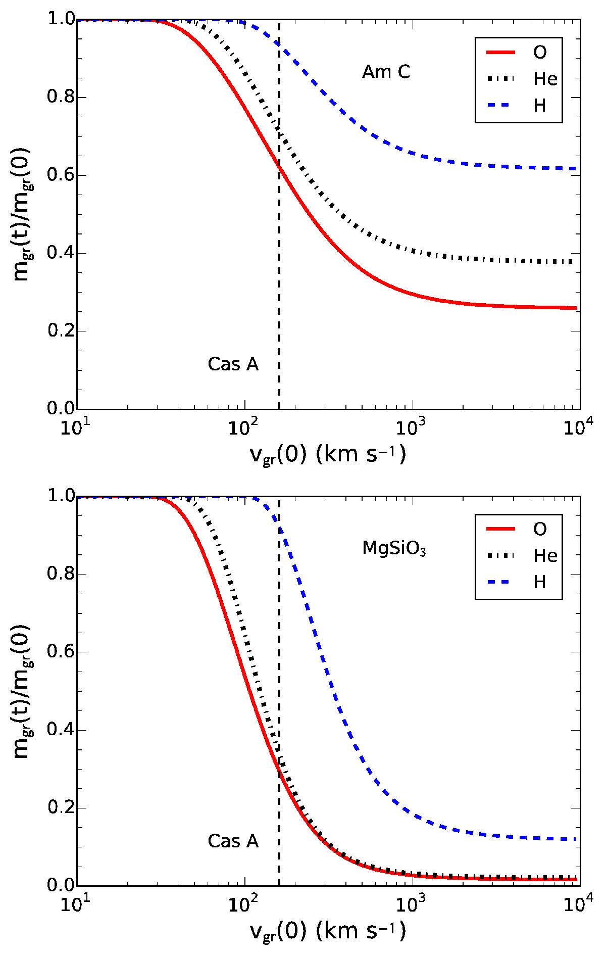
Mass fraction of a carbon (top panel) and MgSiO3 (bottom panel) dust grain surviving the erosion by kinetic sputtering as a function of its initial velocity vgr(0), as it traverses a gas of pure H, He, and O composition with density ngas = ncloud = 100 cm-3. The vertical line indicates the initial grain velocity for Cas A, vgr(0) = vcloud = 160 km s-1.

This figure is made of several images, please see below:

Current usage metrics show cumulative count of Article Views (full-text article views including HTML views, PDF and ePub downloads, according to the available data) and Abstracts Views on Vision4Press platform.

Data correspond to usage on the plateform after 2015. The current usage metrics is available 48-96 hours after online publication and is updated daily on week days.

Initial download of the metrics may take a while.