Free Access

Fig. 12

image

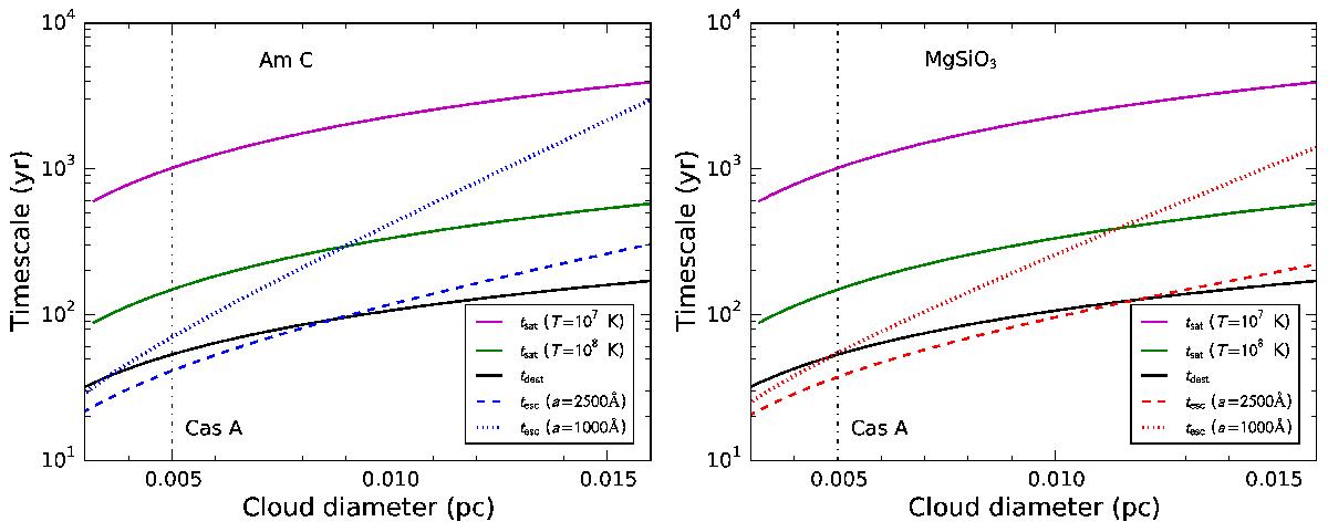
Comparison between timescales relevant for the processing of carbon (left panel) and silicate (right panel) dust grains in an ejecta cloud: cloud destruction time tdest, cloud evaporation time tsat, calculated for two temperatures of the gas surrounding the clouds, and dust escape time tesc, calculated for two grain sizes. Both tesc and tdest has been calculated assuming vgr(0) = vcloud = 160 km s-1. All timescales are represented as a function of the diameter of the clump. The vertical line indicates the diameter adopted for the ejecta clouds in Cas A. See text for details.

This figure is made of several images, please see below:

Current usage metrics show cumulative count of Article Views (full-text article views including HTML views, PDF and ePub downloads, according to the available data) and Abstracts Views on Vision4Press platform.

Data correspond to usage on the plateform after 2015. The current usage metrics is available 48-96 hours after online publication and is updated daily on week days.

Initial download of the metrics may take a while.