Free Access

Fig. 14

image

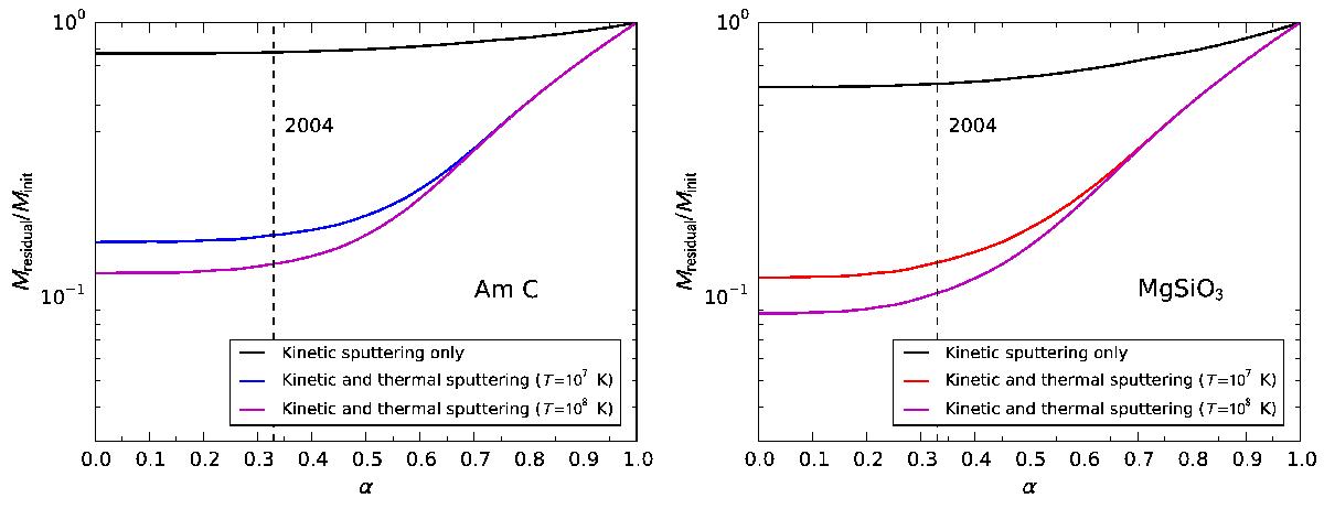
Fraction of surviving carbon (left panel) and silicate dust (right panel) over the entire Cas A remnant as a function of α. For each value of α the curve provides the fraction of remaining dust, which is given by the grains able to survive processing located in the outer layers down to α plus the unprocessed dust residing in the inner layers. The three curves show the effect of kinetic sputtering only and of kinetic+thermal, the latter evaluated for two temperatures of the smooth ejecta: T = 107 K and T = 108 K.

This figure is made of several images, please see below:

Current usage metrics show cumulative count of Article Views (full-text article views including HTML views, PDF and ePub downloads, according to the available data) and Abstracts Views on Vision4Press platform.

Data correspond to usage on the plateform after 2015. The current usage metrics is available 48-96 hours after online publication and is updated daily on week days.

Initial download of the metrics may take a while.