Free Access

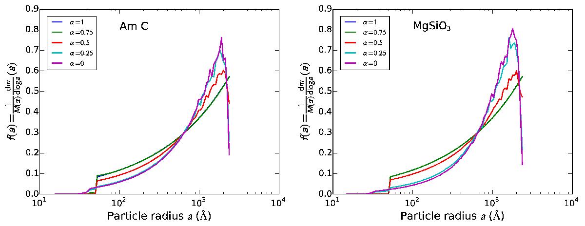
Fig. 15

image

Surviving mass distribution as a function of the grain radius from Eq. (60), for carbon (left panel) and silicate dust (right panel), evaluated for temperatures of the smooth ejecta between 107 K and 108 K. The distributions were normalized to the total surviving dust mass (with M(α) ≡ Mresidual) so that the area under each curve equals 1.

This figure is made of several images, please see below:

Current usage metrics show cumulative count of Article Views (full-text article views including HTML views, PDF and ePub downloads, according to the available data) and Abstracts Views on Vision4Press platform.

Data correspond to usage on the plateform after 2015. The current usage metrics is available 48-96 hours after online publication and is updated daily on week days.

Initial download of the metrics may take a while.