Free Access

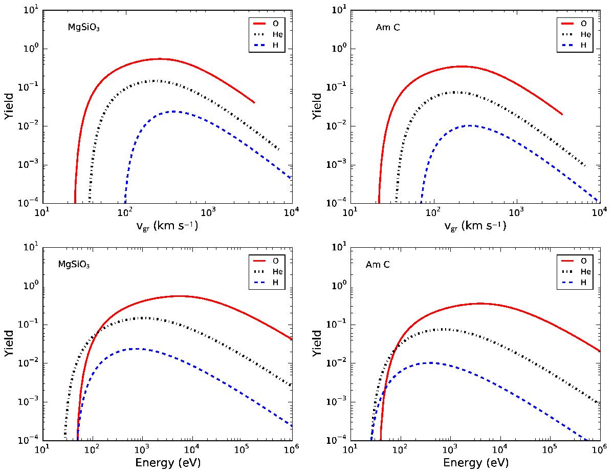
Fig. 9

image

Sputtering yields of silicate (left column) and amorphous carbon grains as a function of the relative grain-gas velocity (top row) and corresponding kinetic energy for the incident projectiles: oxygen, present in the ejecta clouds, helium, and hydrogen. The sputtering yields were calculated using Eq. (11) in Nozawa et al. (2006).

This figure is made of several images, please see below:

Current usage metrics show cumulative count of Article Views (full-text article views including HTML views, PDF and ePub downloads, according to the available data) and Abstracts Views on Vision4Press platform.

Data correspond to usage on the plateform after 2015. The current usage metrics is available 48-96 hours after online publication and is updated daily on week days.

Initial download of the metrics may take a while.