Free Access

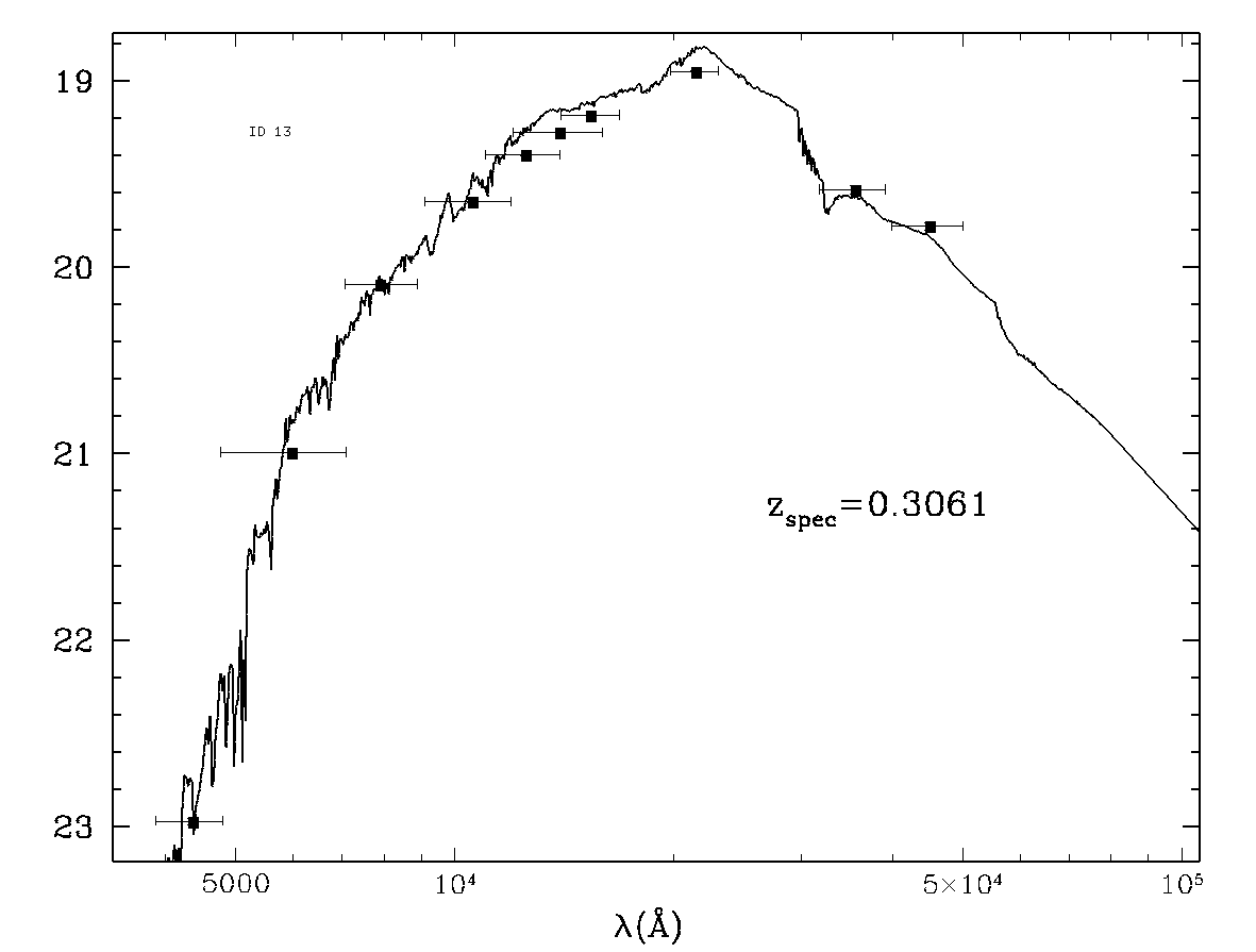
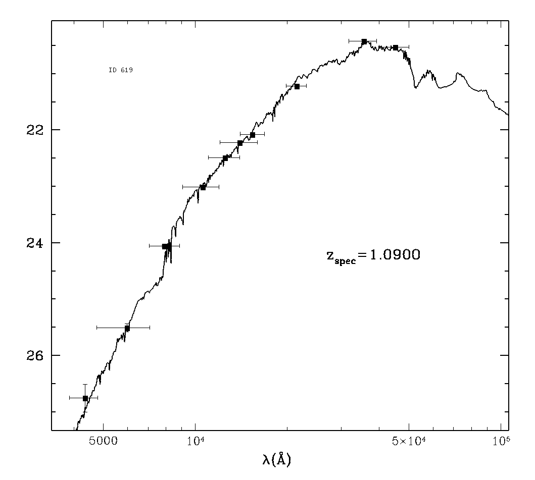
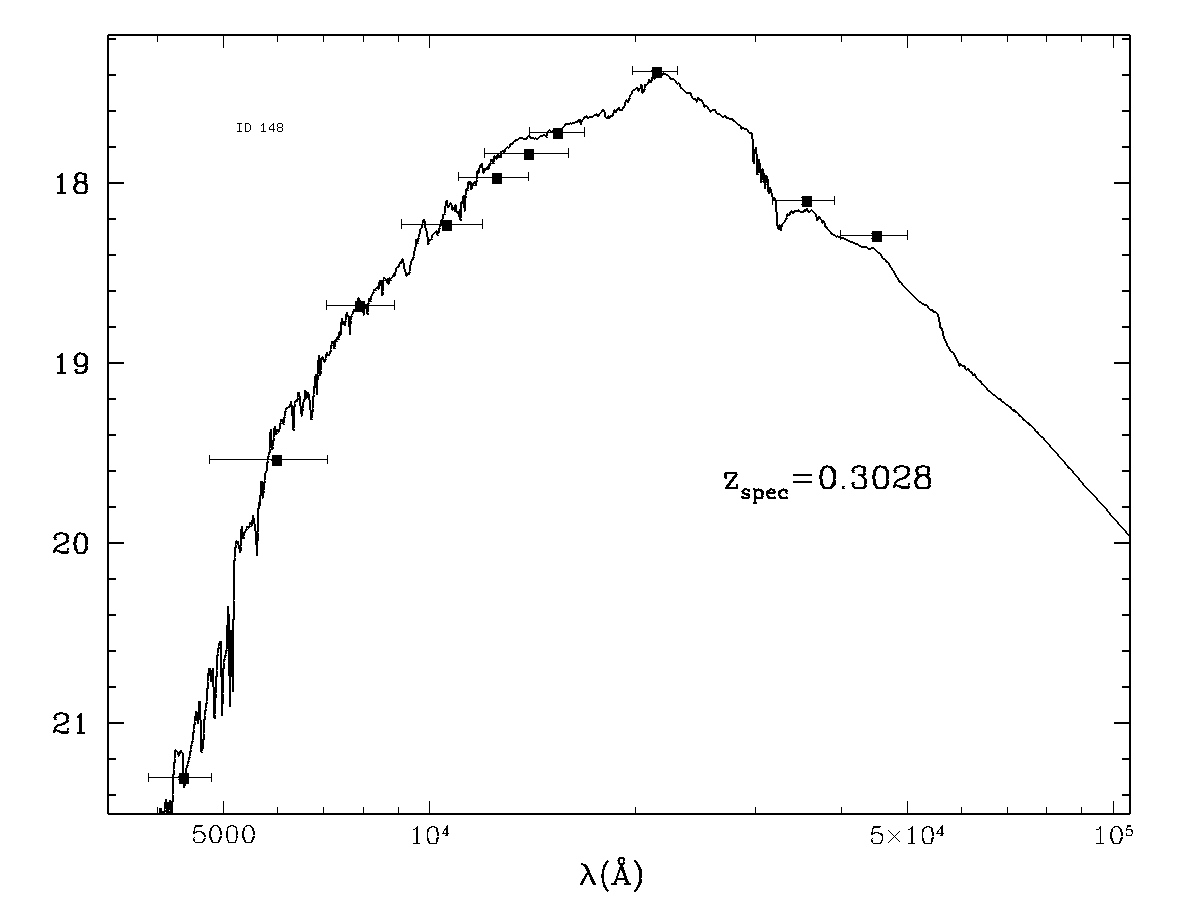
Fig. 12

image

Examples of SED fitting with photometry from this work, for four objects with known confirmed spectroscopic redshift in the A2744 cluster field.

This figure is made of several images, please see below:

Current usage metrics show cumulative count of Article Views (full-text article views including HTML views, PDF and ePub downloads, according to the available data) and Abstracts Views on Vision4Press platform.

Data correspond to usage on the plateform after 2015. The current usage metrics is available 48-96 hours after online publication and is updated daily on week days.

Initial download of the metrics may take a while.