Free Access

Fig. 2

image

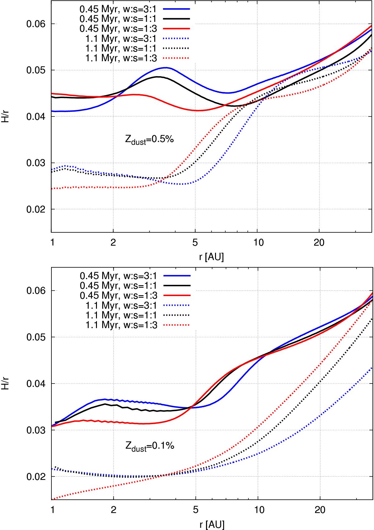
Aspect ratio H/r for discs with different water-to-silicate ratios. The top plot shows H/r for a dust metallicity of Zdust = 0.5%, while the bottom plot has Zdust = 0.1%. A larger fraction of water causes a larger bump in the H/r profile at the water ice line, as expected from the opacity transition (see Fig. 1). At lower dust metallicities the bump at the water ice line is less pronounced compared to higher dust metallicities and resides close to or even inside of 1 AU at the late stages of the disc evolution. For all water-to-silicate ratios, lower accretion rates result in smaller H/r, because the disc is less massive and therefore produces less viscous heating.

This figure is made of several images, please see below:

Current usage metrics show cumulative count of Article Views (full-text article views including HTML views, PDF and ePub downloads, according to the available data) and Abstracts Views on Vision4Press platform.

Data correspond to usage on the plateform after 2015. The current usage metrics is available 48-96 hours after online publication and is updated daily on week days.

Initial download of the metrics may take a while.