Free Access

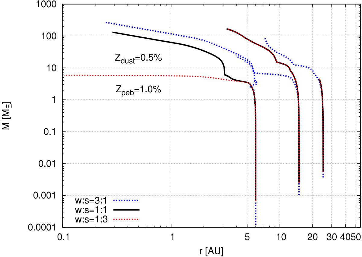
Fig. 4

image

Growth tracks of planets that accrete pebbles in an evolving protoplanetary disc. The planets are placed in discs with different water-to-silicate ratios at a disc evolution time of t0 = 2 Myr. The simulations are stopped when tf = 3 Myr is reached, meaning the planet and disc evolve for 1 Myr. Note that the different resulting planetary masses and orbital distances are a result of the different underlying disc structures (Fig. 2) and migration patters (Fig. 3).

Current usage metrics show cumulative count of Article Views (full-text article views including HTML views, PDF and ePub downloads, according to the available data) and Abstracts Views on Vision4Press platform.

Data correspond to usage on the plateform after 2015. The current usage metrics is available 48-96 hours after online publication and is updated daily on week days.

Initial download of the metrics may take a while.