Free Access

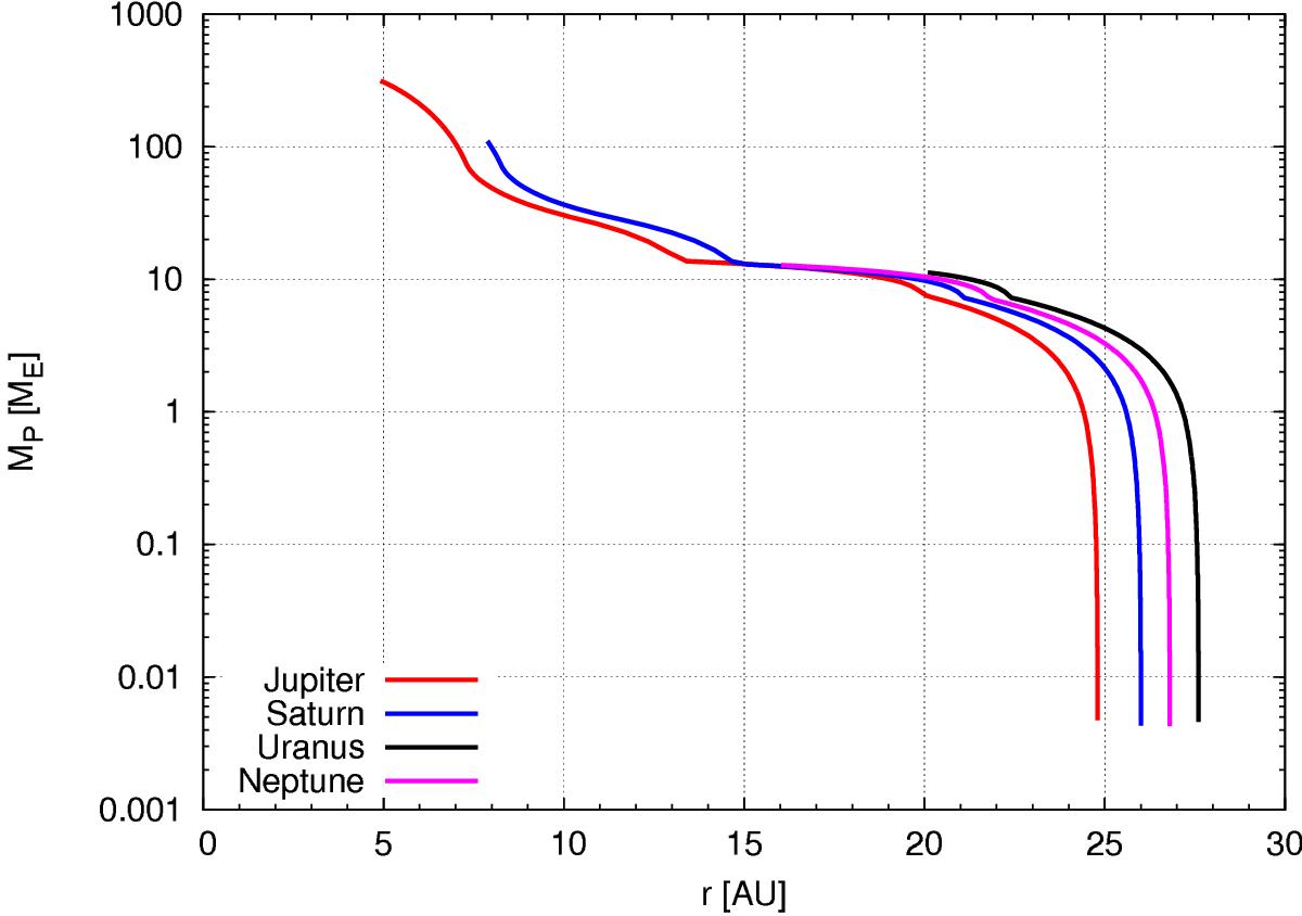
Fig. 9

image

Evolution of the total planetary masses as a function of orbital distance for a solar-system analogue with the giant planets ending up in a configuration similar to the initial conditions of the Nice model. Jupiter starts at t0 = 1.68 Myr, Saturn and t0 = 1.92 Myr, Neptune and Uranus both start at t0 = 2.04 Myr. We display Neptune inside of Uranus here, as they often switch places during the Nice model (Tsiganis et al. 2005). We have used here Zdust = 0.5% and a metallicity of pebbles of Z = 1.0% where the disc has a water-to-silicate ratio of 3:1. The mass of the cores for all giant planets is ~7 MEarth.

Current usage metrics show cumulative count of Article Views (full-text article views including HTML views, PDF and ePub downloads, according to the available data) and Abstracts Views on Vision4Press platform.

Data correspond to usage on the plateform after 2015. The current usage metrics is available 48-96 hours after online publication and is updated daily on week days.

Initial download of the metrics may take a while.