Free Access

Fig. 13

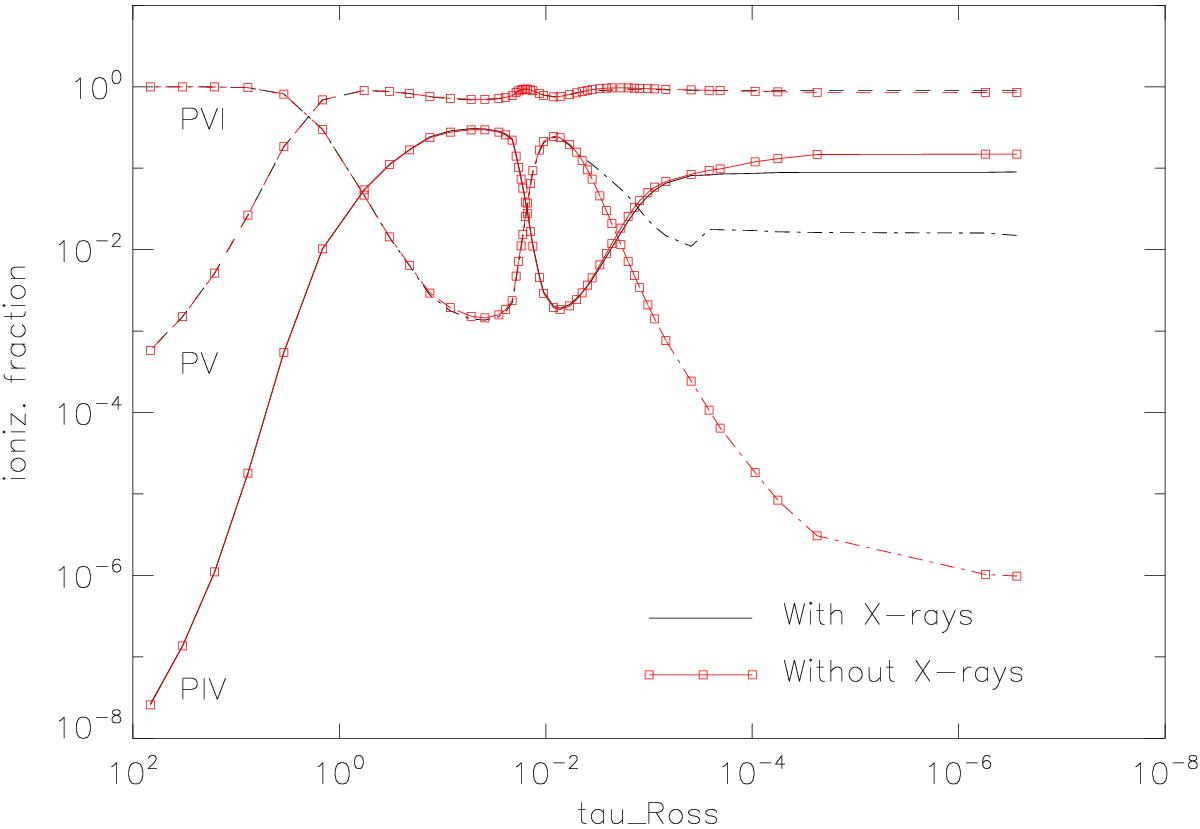
image

Radial stratification of phosphorus ionization fractions, as a function of τRoss, for our model of HD 203064 at Teff = 34.5 kK (see KK09 for stellar, wind, and X-ray emission parameters). In our implementation, P v is barely modified by the X-ray radiation field, whilst a considerable impact is seen for P vi.

Current usage metrics show cumulative count of Article Views (full-text article views including HTML views, PDF and ePub downloads, according to the available data) and Abstracts Views on Vision4Press platform.

Data correspond to usage on the plateform after 2015. The current usage metrics is available 48-96 hours after online publication and is updated daily on week days.

Initial download of the metrics may take a while.